Официальное опубликование правовых актов
ОФИЦИАЛЬНОЕ ОПУБЛИКОВАНИЕ
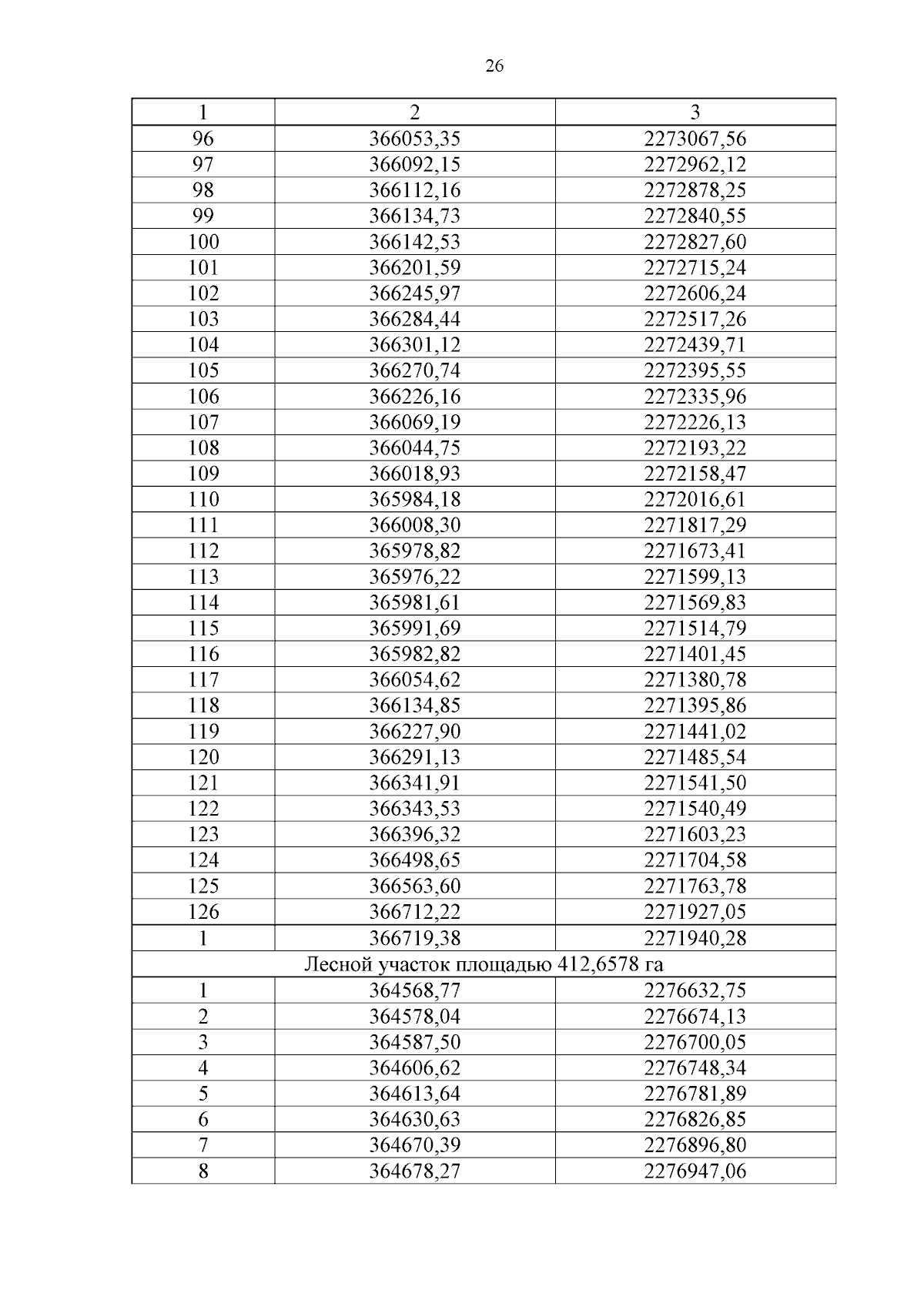
Постановление Правительства Кемеровской области - Кузбасса от 24.06.2025 № 375
"Об изменении площадей и границ земель, на которых расположены леса, указанные в пункте 3 части 1 статьи 114 Лесного кодекса Российской Федерации, Таштагольского лесничества Кемеровской области — Кузбасса"
Номер опубликования: 4200202506270003
Дата опубликования: 27.06.2025
Страница №26 из 32:
Увеличить