Официальное опубликование правовых актов
ОФИЦИАЛЬНОЕ ОПУБЛИКОВАНИЕ
Постановление Правительства Кемеровской области - Кузбасса от 26.03.2025 № 174
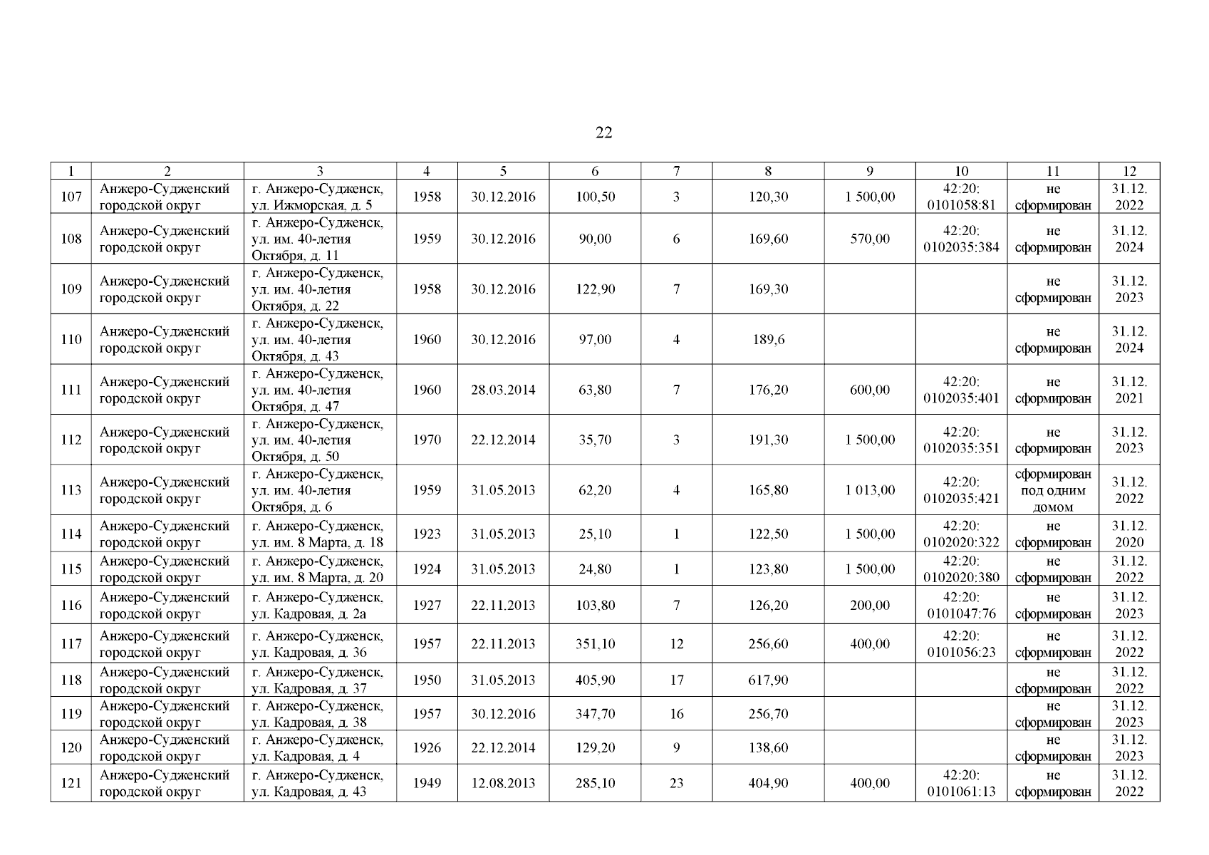
"О внесении изменений в постановление Коллегии Администрации Кемеровской области от 29.03.2019 № 199 "Об утверждении региональной адресной программы "Переселение граждан из многоквартирных домов, признанных до 01.01.2017 в установленном порядке аварийными и подлежащими сносу или реконструкции" на 2019—2024 годы"
Номер опубликования: 4200202503310012
Дата опубликования: 31.03.2025
Страница №22 из 186:
Увеличить