Официальное опубликование правовых актов
ОФИЦИАЛЬНОЕ ОПУБЛИКОВАНИЕ
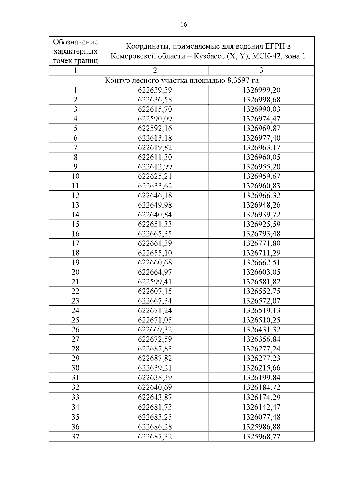
Постановление Правительства Кемеровской области - Кузбасса от 27.01.2025 № 30
"Об изменении площадей и границ земель, на которых расположены леса, указанные в пункте 4 части 1 статьи 114 Лесного кодекса Российской Федерации, Кемеровского лесничества Кемеровской области — Кузбасса"
Номер опубликования: 4200202501310003
Дата опубликования: 31.01.2025
Страница №16 из 28:
Увеличить