Официальное опубликование правовых актов
ОФИЦИАЛЬНОЕ ОПУБЛИКОВАНИЕ
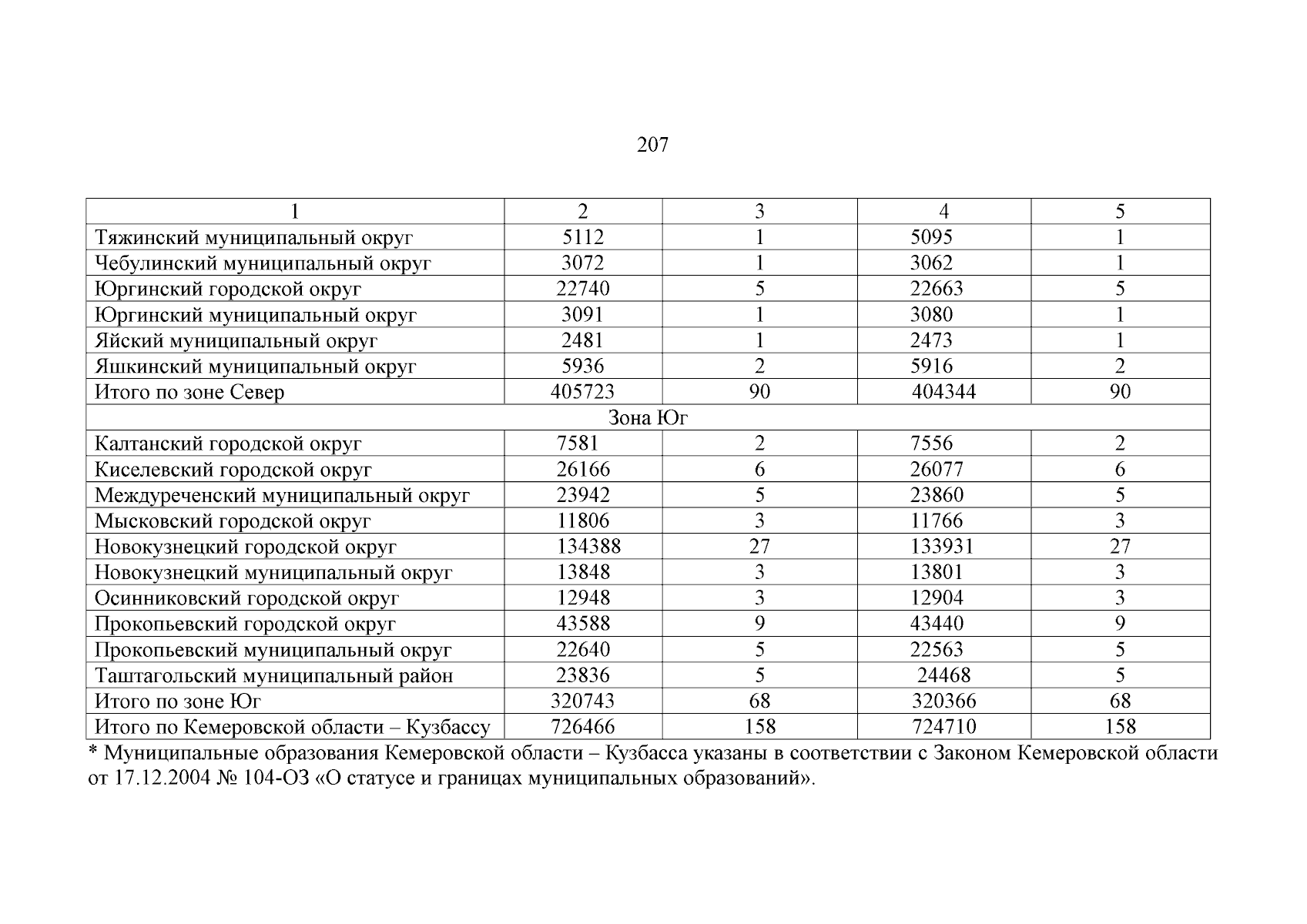
Постановление Правительства Кемеровской области - Кузбасса от 04.12.2024 № 775
"О внесении изменений в постановление Коллегии Администрации Кемеровской области от 26.09.2016 № 367 "Об утверждении территориальной схемы обращения с отходами производства и потребления, в том числе с твердыми коммунальными отходами, Кемеровской области — Кузбасса"
Номер опубликования: 4200202412090001
Дата опубликования: 09.12.2024
Страница №207 из 231:
Увеличить