Официальное опубликование правовых актов
ОФИЦИАЛЬНОЕ ОПУБЛИКОВАНИЕ
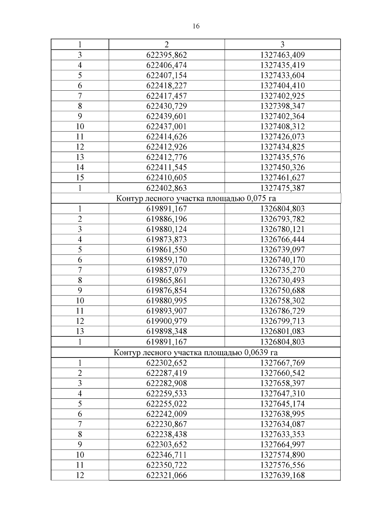
Постановление Правительства Кемеровской области - Кузбасса от 28.11.2024 № 766
"Об изменении площадей и границ земель, на которых расположены леса, указанные в пунктах 3 и 4 части 1 статьи 114 Лесного кодекса Российской Федерации, Кемеровского лесничества Кемеровской области — Кузбасса"
Номер опубликования: 4200202412020008
Дата опубликования: 02.12.2024
Страница №16 из 21:
Увеличить