Официальное опубликование правовых актов
ОФИЦИАЛЬНОЕ ОПУБЛИКОВАНИЕ
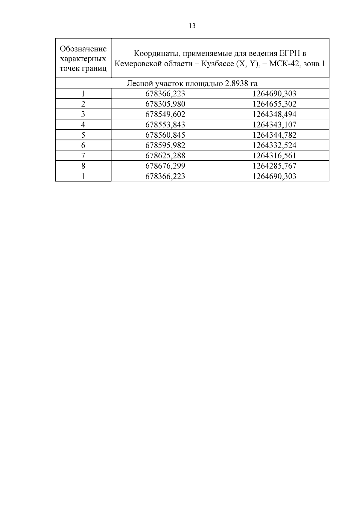
Постановление Правительства Кемеровской области - Кузбасса от 22.07.2024 № 459
"Об изменении площадей и границ земель, на которых расположены леса, указанные в пункте 3 части 1 статьи 114 Лесного кодекса Российской Федерации, Юргинского лесничества Кемеровской области — Кузбасса"
Номер опубликования: 4200202407260011
Дата опубликования: 26.07.2024
Страница №13 из 13:
Увеличить