Официальное опубликование правовых актов
ОФИЦИАЛЬНОЕ ОПУБЛИКОВАНИЕ
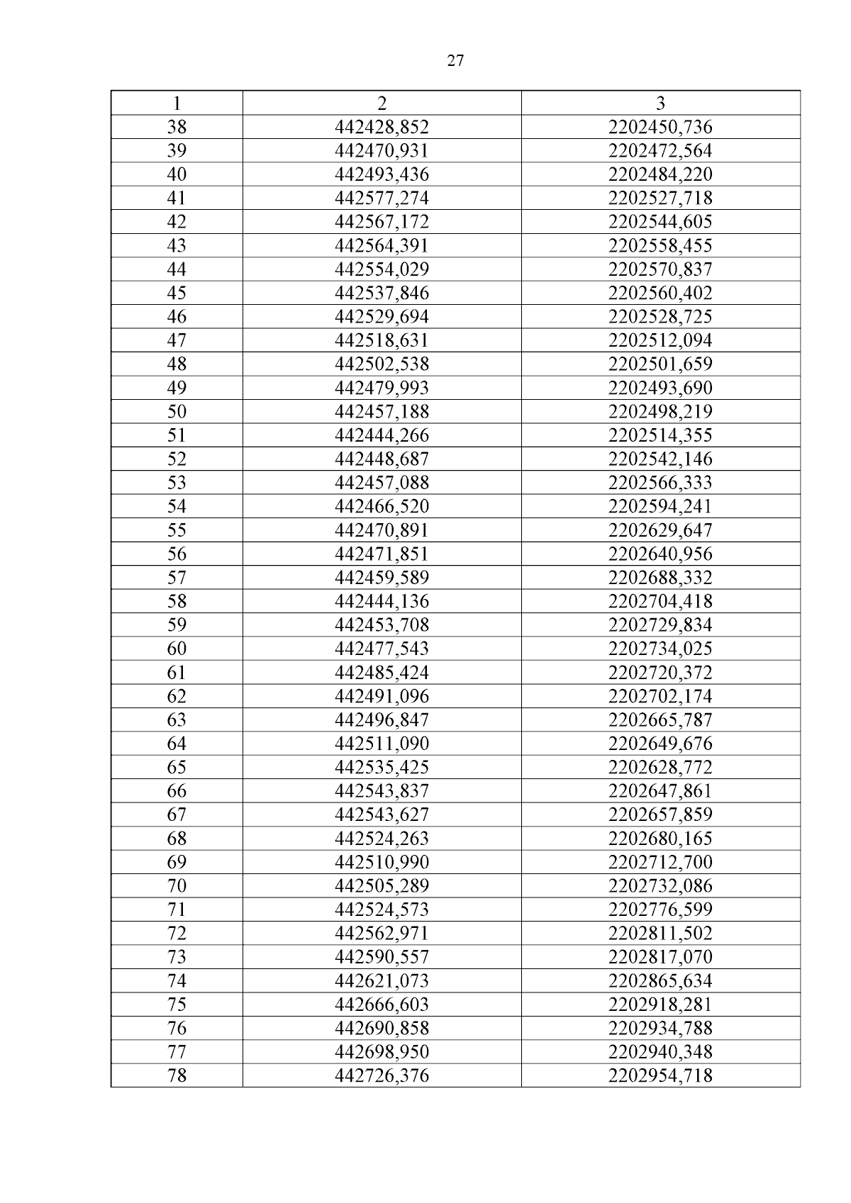
Постановление Правительства Кемеровской области - Кузбасса от 06.02.2024 № 59
"Об изменении площадей и границ земель, на которых расположены леса, указанные в пункте 3 части 1 статьи 114 Лесного кодекса Российской Федерации, Новокузнецкого лесничества Кемеровской области — Кузбасса"
Номер опубликования: 4200202402090006
Дата опубликования: 09.02.2024
Страница №27 из 37:
Увеличить