Официальное опубликование правовых актов
ОФИЦИАЛЬНОЕ ОПУБЛИКОВАНИЕ
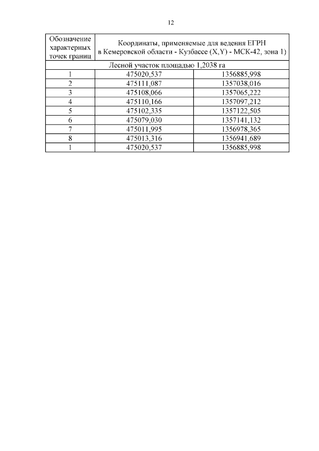
Постановление Правительства Кемеровской области - Кузбасса от 05.06.2023 № 351
"Об изменении площадей и границ земель, на которых расположены леса, указанные в пункте 3 части 1 статьи 114 Лесного кодекса Российской Федерации, Прокопьевского лесничества Кемеровской области - Кузбасса"
Номер опубликования: 4200202306080008
Дата опубликования: 08.06.2023
Страница №12 из 12:
Увеличить