Официальное опубликование правовых актов
ОФИЦИАЛЬНОЕ ОПУБЛИКОВАНИЕ
Постановление Правительства Кемеровской области - Кузбасса от 02.03.2023 № 119
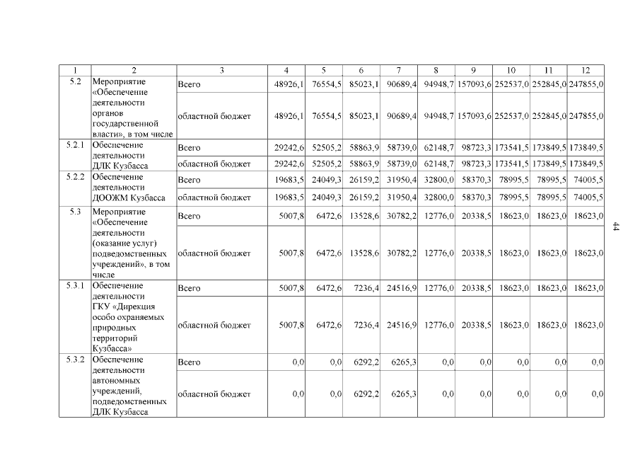
"О внесении изменений в постановление Коллегии Администрации Кемеровской области от 08.11.2016 № 430 "Об утверждении государственной программы Кемеровской области - Кузбасса "Охрана, защита, воспроизводство, использование лесов и объектов животного мира Кузбасса" на 2017-2025 годы"
Номер опубликования: 4200202303060004
Дата опубликования: 06.03.2023
Страница №44 из 65:
Увеличить