Официальное опубликование правовых актов
ОФИЦИАЛЬНОЕ ОПУБЛИКОВАНИЕ
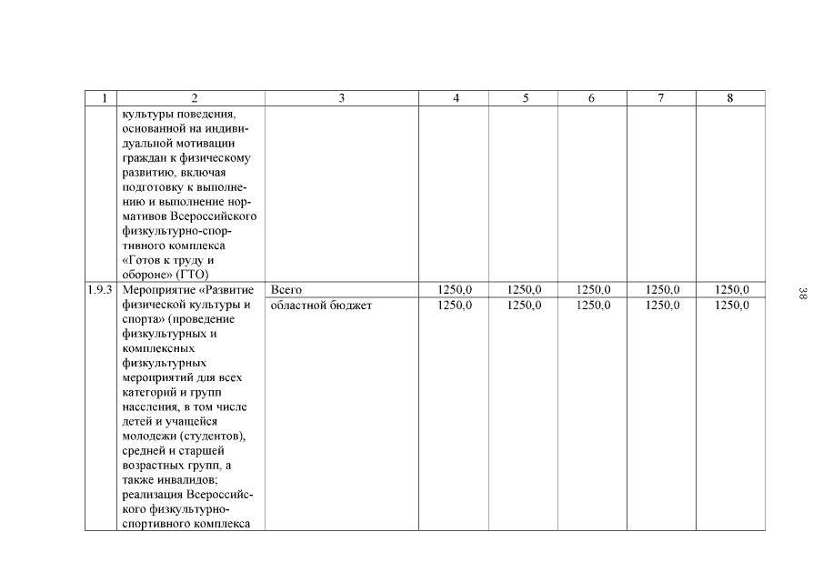
Постановление Правительства Кемеровской области - Кузбасса от 31.01.2023 № 53
"О внесении изменений в постановление Правительства Кемеровской области - Кузбасса от 01.10.2020 № 611 "Об утверждении государственной программы Кемеровской области - Кузбасса "Физическая культура и спорт Кузбасса" на 2021-2025 годы"
Номер опубликования: 4200202302030006
Дата опубликования: 03.02.2023
Страница №38 из 68:
Увеличить