Официальное опубликование правовых актов
ОФИЦИАЛЬНОЕ ОПУБЛИКОВАНИЕ
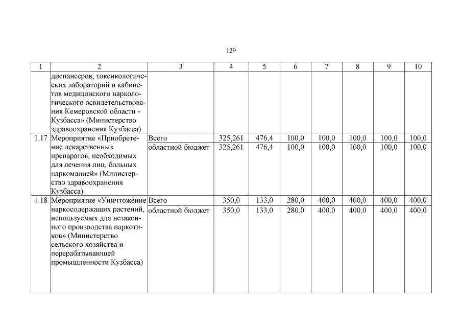
Постановление Правительства Кемеровской области - Кузбасса от 02.11.2022 № 725
"О внесении изменений в постановление Коллегии Администрации Кемеровской области от 13.09.2013 № 375 "Об утверждении государственной программы Кемеровской области - Кузбасса "Обеспечение безопасности населения Кузбасса" на 2014-2024 годы"
Номер опубликования: 4200202211080019
Дата опубликования: 08.11.2022
Страница №129 из 213:
Увеличить