Официальное опубликование правовых актов
ОФИЦИАЛЬНОЕ ОПУБЛИКОВАНИЕ
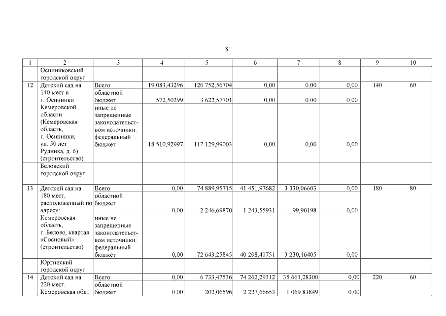
Постановление Правительства Кемеровской области - Кузбасса от 10.08.2022 № 519
"О внесении изменения в постановление Правительства Кемеровской области — Кузбасса от 30.08.2019 № 512 "Об утверждении перечня объектов в рамках реализации мероприятия "Создание дополнительных мест для детей в возрасте от 1,5 до 3 лет в образовательных организациях, осуществляющих образовательную деятельность по образовательным программам дошкольного образования" подпрограммы "Развитие социальной инфраструктуры жизнеобеспечения населения Кемеровской области - Кузбасса" государственной программы Кемеровской области - Кузбасса "Жилищная и социальная инфраструктура Кузбасса" на 2014 — 2024 годы"
Номер опубликования: 4200202208150002
Дата опубликования: 15.08.2022
Страница №8 из 12:
Увеличить