Официальное опубликование правовых актов
ОФИЦИАЛЬНОЕ ОПУБЛИКОВАНИЕ
Постановление Правительства Кемеровской области - Кузбасса от 11.03.2022 № 128
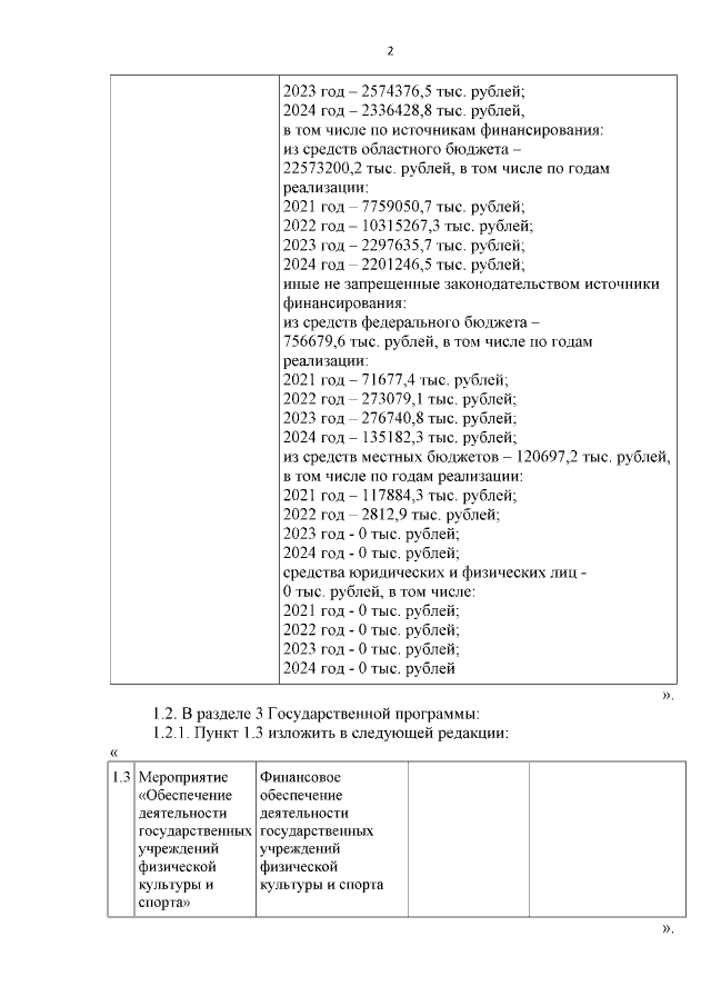
"О внесении изменений в постановление Правительства Кемеровской области - Кузбасса от 01.10.2020 № 611 "Об утверждении государственной программы Кемеровской области - Кузбасса "Физическая культура и спорт Кузбасса" на 2021-2024 годы"
Номер опубликования: 4200202203140004
Дата опубликования: 14.03.2022
Страница №2 из 60:
Увеличить