Официальное опубликование правовых актов
ОФИЦИАЛЬНОЕ ОПУБЛИКОВАНИЕ
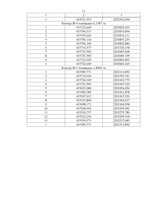
Постановление Правительства Кемеровской области - Кузбасса от 07.02.2022 № 61
"Об изменении площадей и границ земель, на которых расположены леса, указанные в пункте 4 части 1 статьи 114 Лесного кодекса Российской Федерации, Новокузнецкого лесничества Кемеровской области"
Номер опубликования: 4200202202110003
Дата опубликования: 11.02.2022
Страница №11 из 17:
Увеличить