Официальное опубликование правовых актов
ОФИЦИАЛЬНОЕ ОПУБЛИКОВАНИЕ
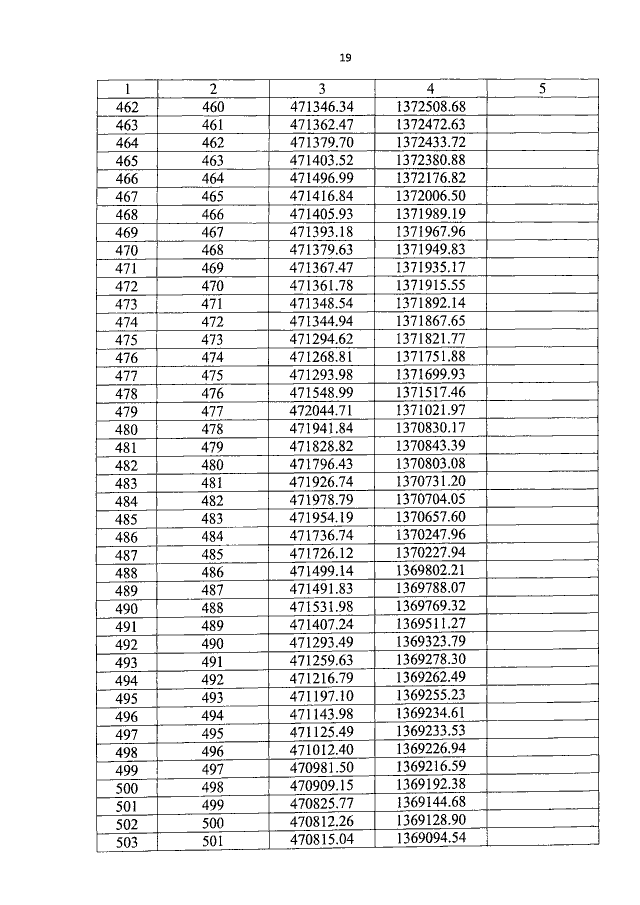
Закон Кемеровской области - Кузбасса от 11.01.2022
№ 10-ОЗ "О внесении изменения в приложение 1 к Закону Кемеровской области "О статусе и границах муниципальных образований"
Номер опубликования: 4200202201170009
Дата опубликования: 17.01.2022
Страница №19 из 46:
Увеличить