Официальное опубликование правовых актов
ОФИЦИАЛЬНОЕ ОПУБЛИКОВАНИЕ
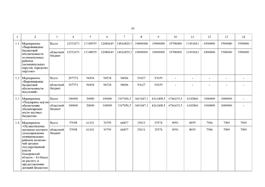
Постановление Правительства Кемеровской области - Кузбасса от 22.12.2021 № 769
"О внесении изменений в постановление Коллегии Администрации Кемеровской области от 08.10.2013 № 421 "Об утверждении государственной программы Кемеровской области – Кузбасса "Управление государственными финансами Кузбасса" на 2014 – 2024 годы"
Номер опубликования: 4200202112240009
Дата опубликования: 24.12.2021
Страница №10 из 27:
Увеличить