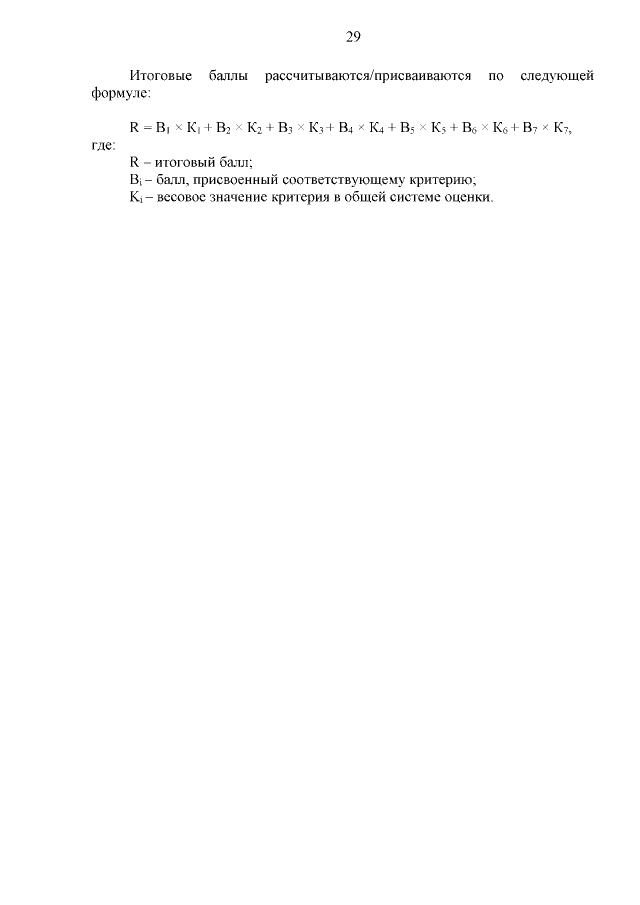
Постановление Правительства Кемеровской области - Кузбасса от 05.08.2021 № 470
"Об утверждении Порядка предоставления субсидий промышленным предприятиям на возмещение части фактически произведенных и документально подтвержденных затрат, связанных с приобретением нового оборудования"
"Об утверждении Порядка предоставления субсидий промышленным предприятиям на возмещение части фактически произведенных и документально подтвержденных затрат, связанных с приобретением нового оборудования"
Номер опубликования: 4200202108090001
Дата опубликования:
09.08.2021
