Официальное опубликование правовых актов
ОФИЦИАЛЬНОЕ ОПУБЛИКОВАНИЕ
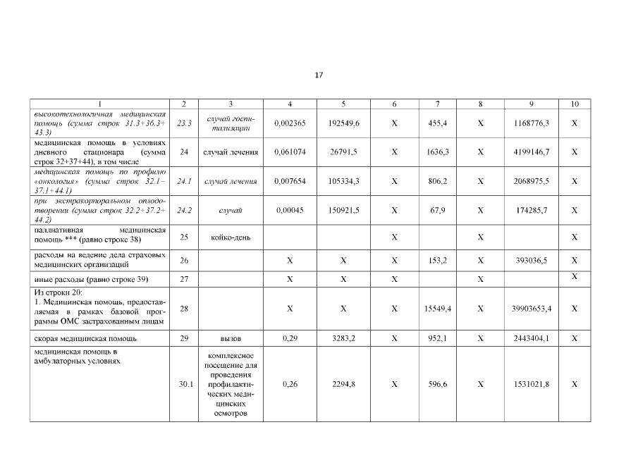
Постановление Правительства Кемеровской области - Кузбасса от 01.07.2021 № 382
"О внесении изменений в постановление Правительства Кемеровской области – Кузбасса от 30.12.2020 № 817 "Об утверждении Территориальной программы государственных гарантий бесплатного оказания гражданам медицинской помощи на 2021 год и на плановый период 2022 и 2023 годов"
Номер опубликования: 4200202107060003
Дата опубликования: 06.07.2021
Страница №17 из 26:
Увеличить