Официальное опубликование правовых актов
ОФИЦИАЛЬНОЕ ОПУБЛИКОВАНИЕ
Закон Кемеровской области - Кузбасса от 15.02.2021
№ 18-ОЗ "О преобразовании муниципальных образований, входящих в состав Беловского муниципального района"
Номер опубликования: 4200202102190002
Дата опубликования: 19.02.2021
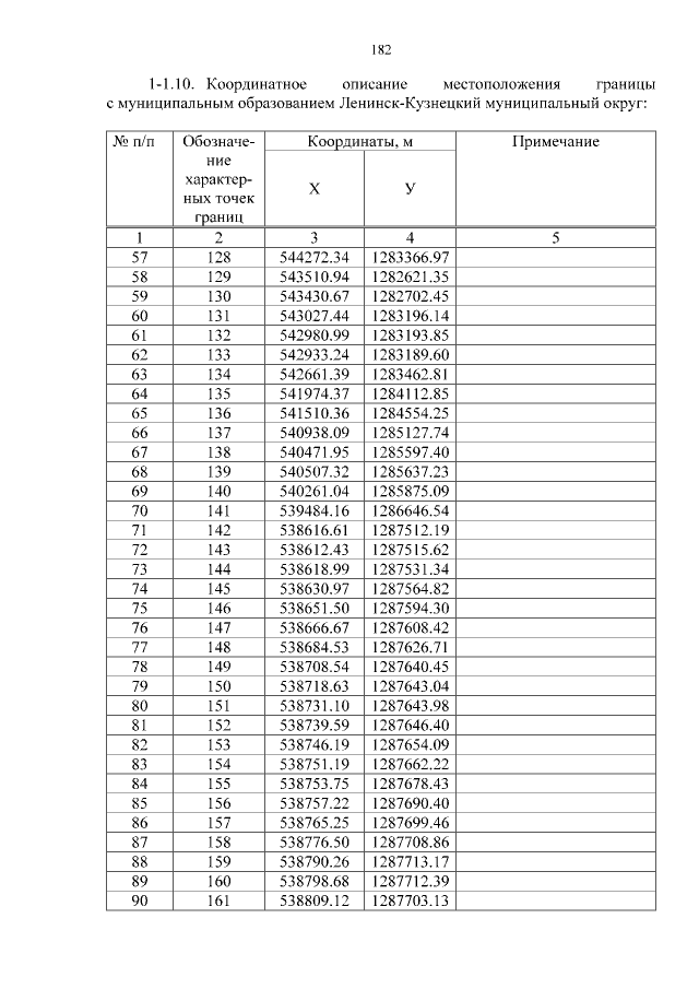
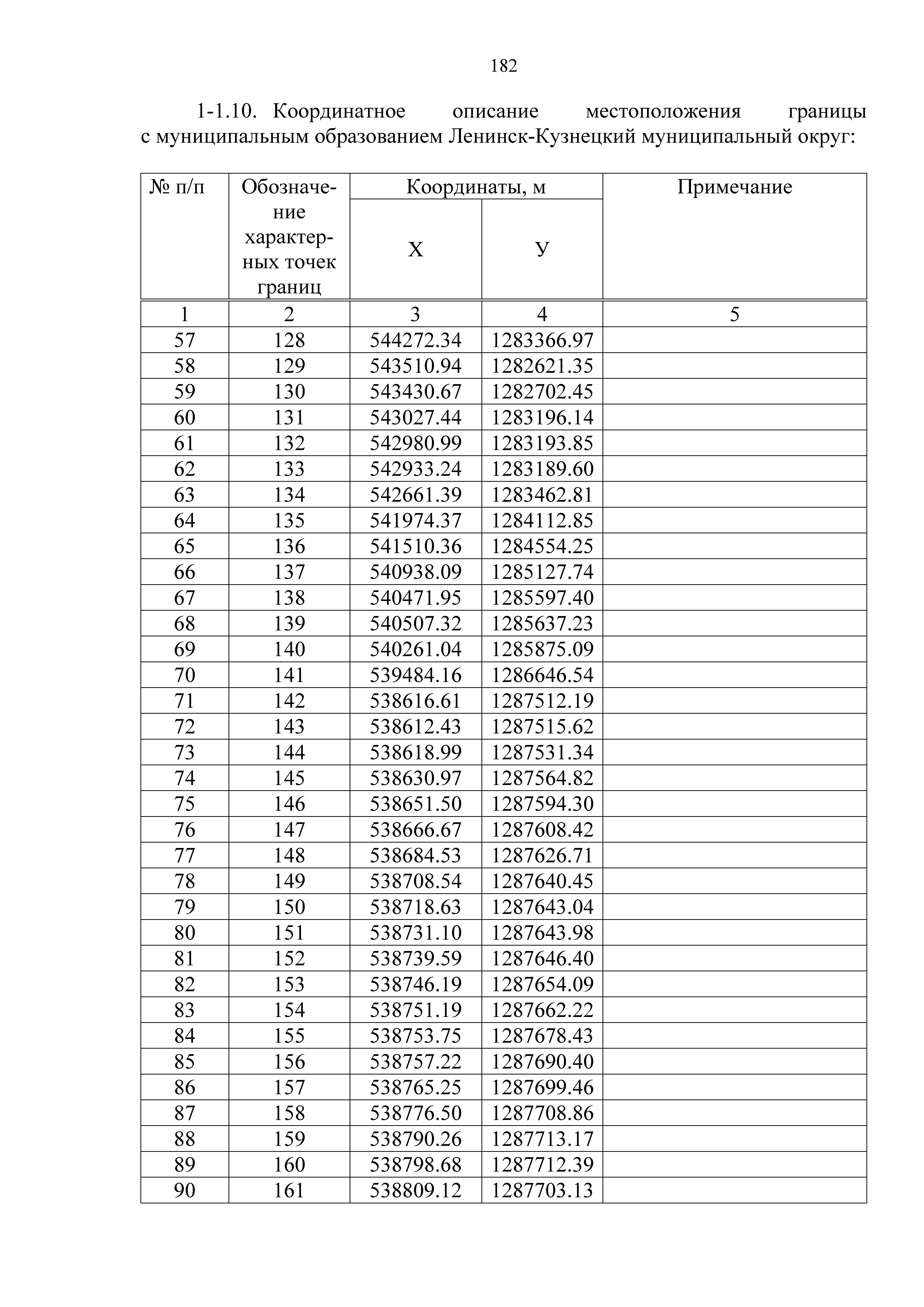
Страница №182 из 225: