Официальное опубликование правовых актов
ОФИЦИАЛЬНОЕ ОПУБЛИКОВАНИЕ
Закон Кемеровской области - Кузбасса от 14.10.2020 № 113-ОЗ "О внесении изменений в Закон Кемеровской области – Кузбасса "Об областном бюджете на 2020 год и на плановый период 2021 и 2022 годов"
Номер опубликования: 4200202010160007
Дата опубликования: 16.10.2020
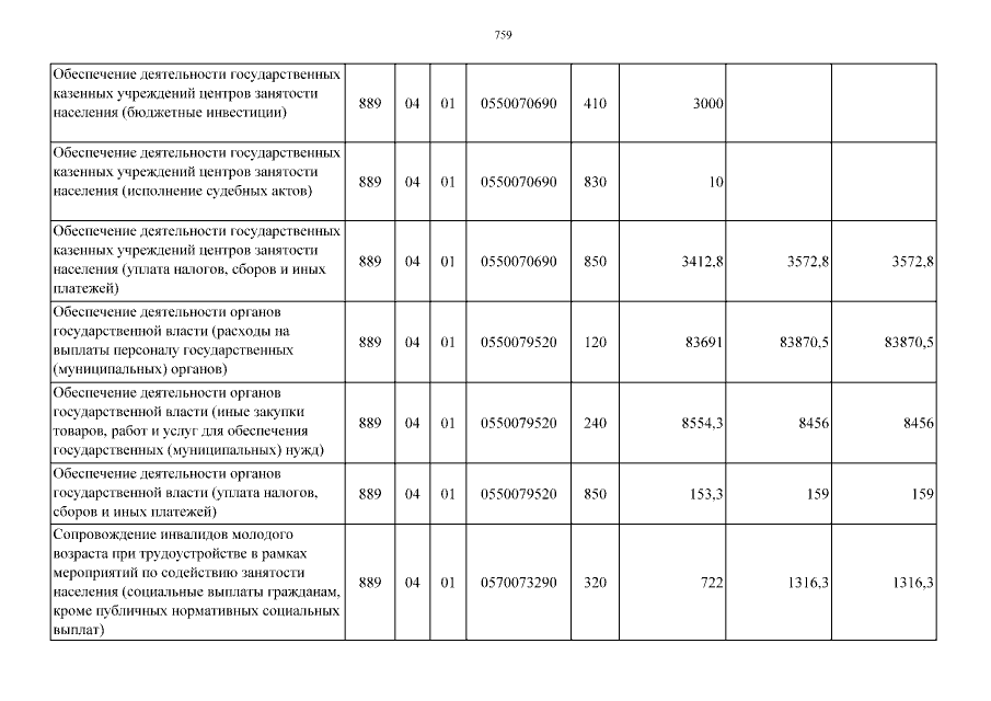
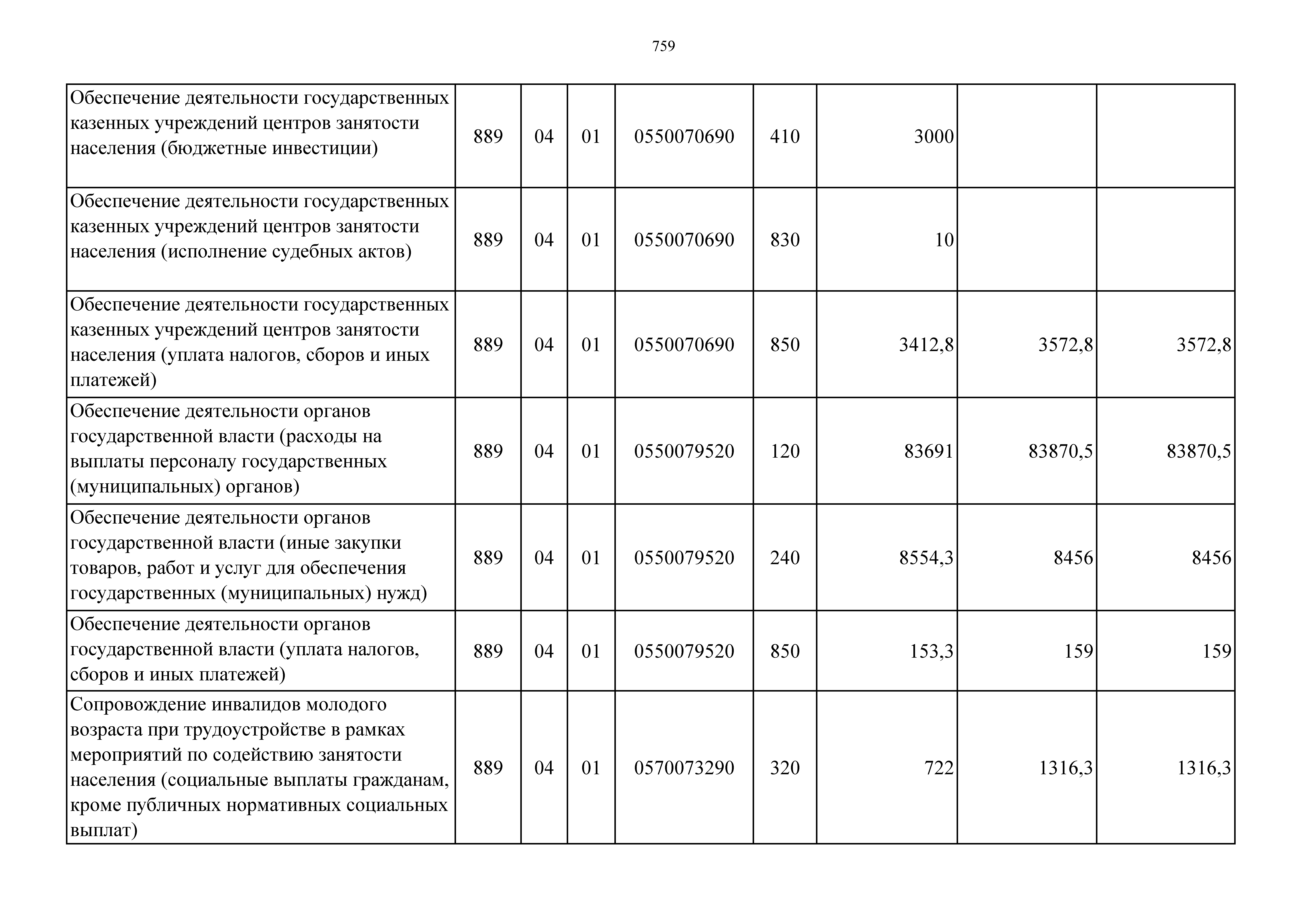
Страница №759 из 996: