Официальное опубликование правовых актов
ОФИЦИАЛЬНОЕ ОПУБЛИКОВАНИЕ
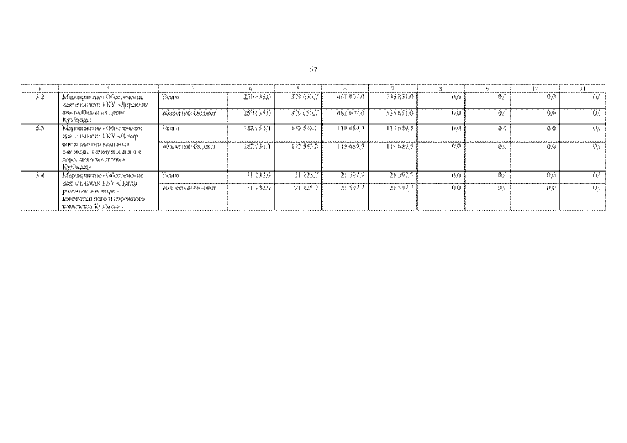
Постановление Правительства Кемеровской области - Кузбасса от 29.06.2020 № 370
"О внесении изменений в постановление Коллегии Администрации Кемеровской области от 24.10.2013 № 458 "Об утверждении государственной программы Кемеровской области – Кузбасса "Жилищно-коммунальный и дорожный комплекс, энергосбережение и повышение энергоэффективности Кузбасса" на 2014 - 2026 годы"
Номер опубликования: 4200202007030007
Дата опубликования: 03.07.2020
Страница №67 из 67:
Увеличить