Официальное опубликование правовых актов
ОФИЦИАЛЬНОЕ ОПУБЛИКОВАНИЕ
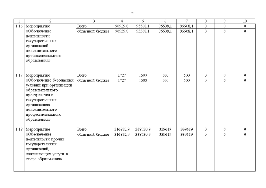
Постановление Правительства Кемеровской области - Кузбасса от 20.05.2020 № 302
"О внесении изменений в постановление Коллегии Администрации Кемеровской области от 04.09.2013 № 367 "Об утверждении государственной программы Кемеровской области – Кузбасса "Развитие системы образования Кузбасса" на 2014-2025 годы"
Номер опубликования: 4200202005250006
Дата опубликования: 25.05.2020
Страница №23 из 231:
Увеличить