Официальное опубликование правовых актов
ОФИЦИАЛЬНОЕ ОПУБЛИКОВАНИЕ
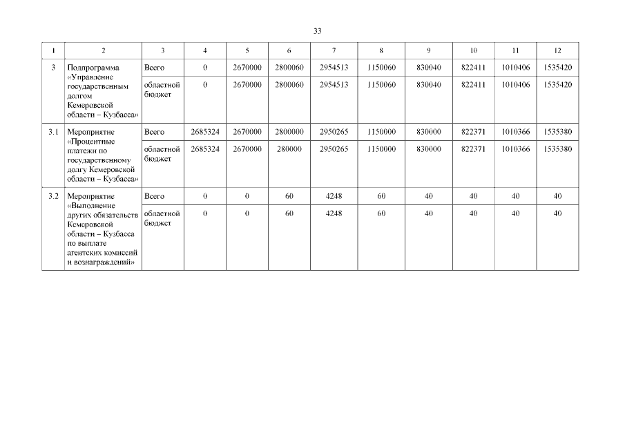
Постановление Правительства Кемеровской области - Кузбасса от 30.12.2019 № 763
"О внесении изменений в постановление Коллегии Администрации Кемеровской области от 08.10.2013 № 421 "Об утверждении государственной программы Кемеровской области "Управление государственными финансами Кузбасса" на 2014 - 2022 годы"
Номер опубликования: 4200201912300009
Дата опубликования: 30.12.2019
Страница №33 из 46:
Увеличить