Официальное опубликование правовых актов
ОФИЦИАЛЬНОЕ ОПУБЛИКОВАНИЕ
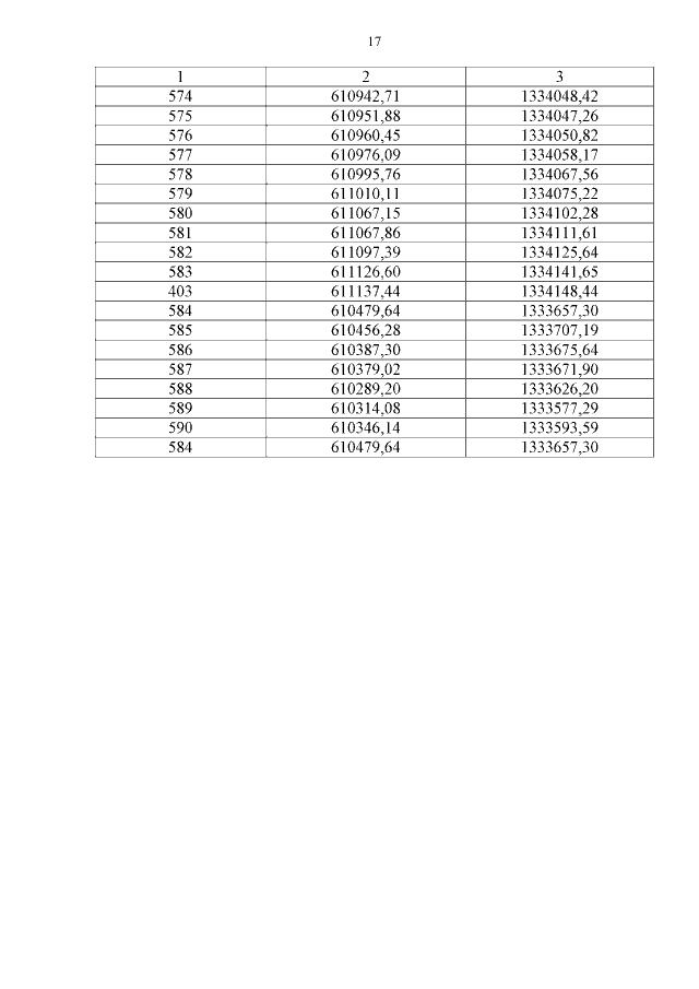
Постановление Правительства Кемеровской области - Кузбасса от 25.12.2019 № 750
"Об утверждении границ охранной зоны планируемой к строительству газораспределительной сети "Внутрипоселковый газопровод с. Ягуново, Кемеровского района Кемеровской области. II очередь первый этап" и наложении ограничений (обременений) на входящие в нее земельные участки"
Номер опубликования: 4200201912270030
Дата опубликования: 27.12.2019
Страница №17 из 17:
Увеличить