Официальное опубликование правовых актов
ОФИЦИАЛЬНОЕ ОПУБЛИКОВАНИЕ
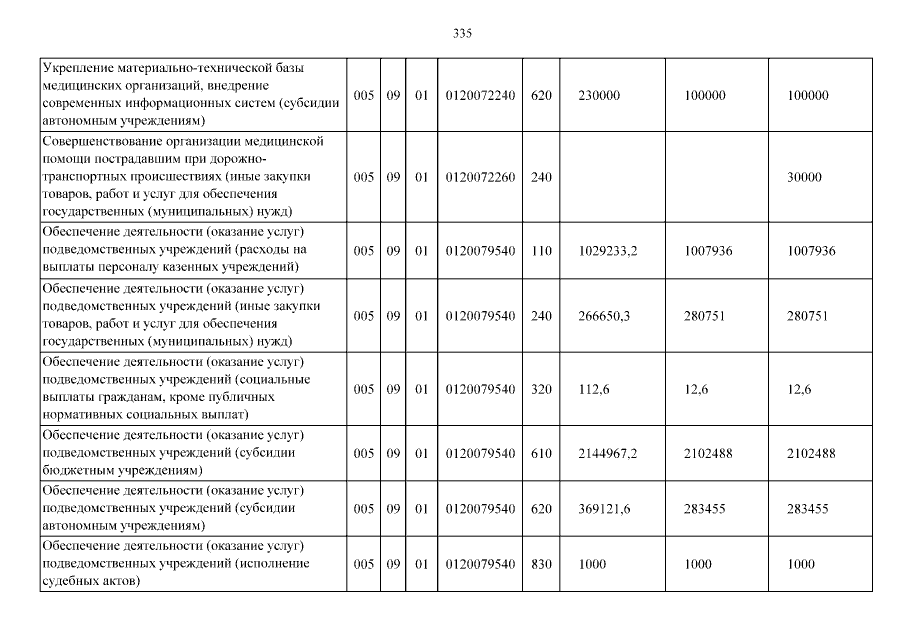
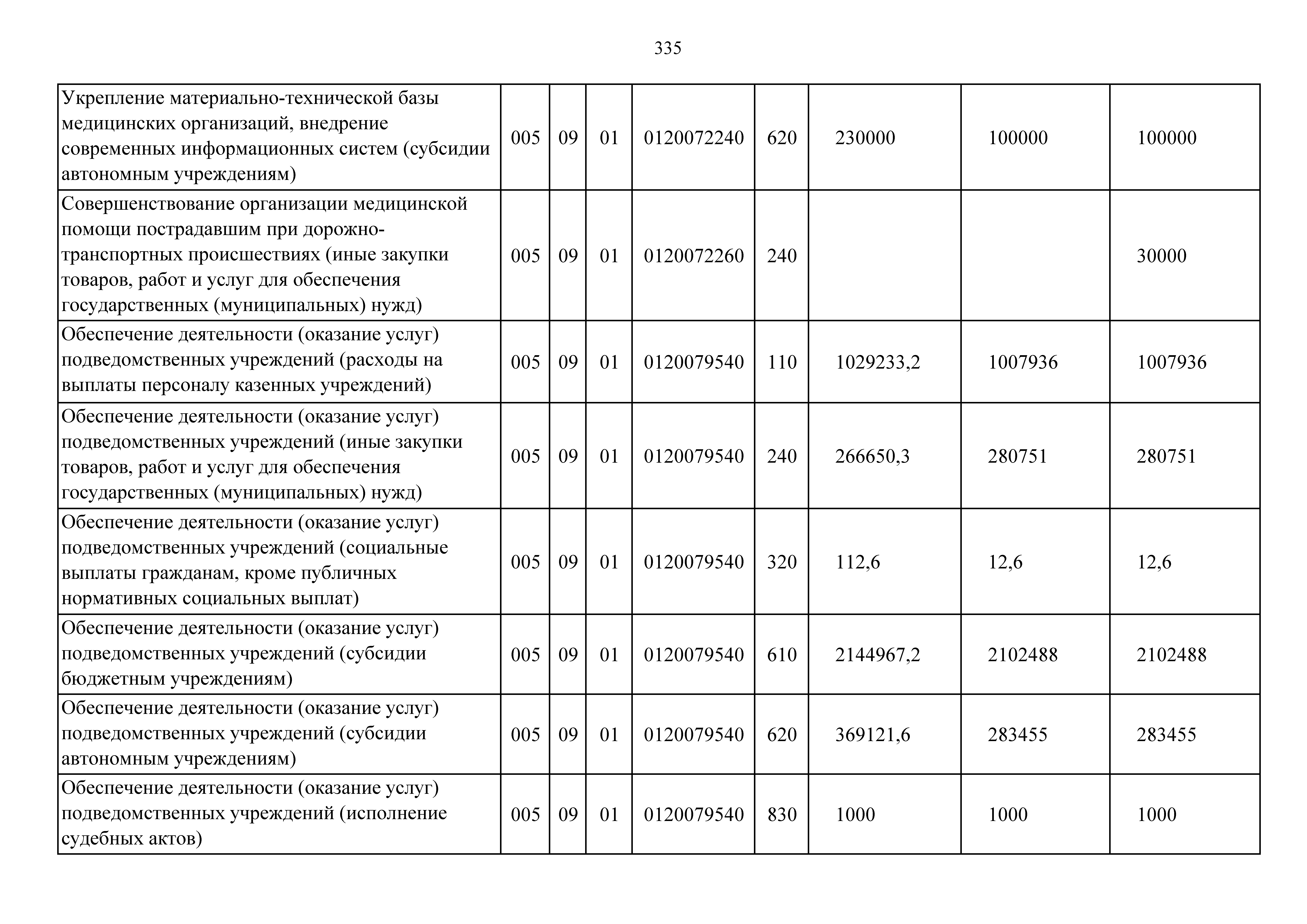
Закон Кемеровской области - Кузбасса от 20.12.2019 № 148-ОЗ
"О внесении изменений в Закон Кемеровской области "Об областном бюджете на 2019 год и на плановый период 2020 и 2021 годов"
Номер опубликования: 4200201912270013
Дата опубликования: 27.12.2019
Страница №335 из 711: