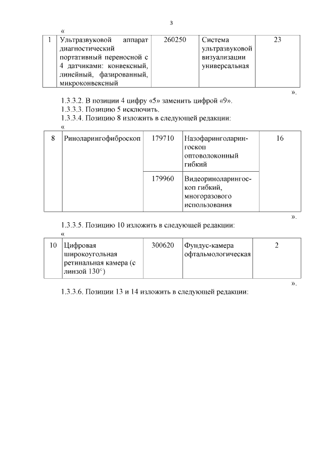
Постановление Правительства Кемеровской области - Кузбасса от 19.12.2019 № 723
"О внесении изменений в постановление Коллегии Администрации Кемеровской области от 25.06.2018 № 254 "Об утверждении региональной программы "Развитие материально-технической базы детских поликлиник и детских поликлинических отделений медицинских организаций Кемеровской области"
"О внесении изменений в постановление Коллегии Администрации Кемеровской области от 25.06.2018 № 254 "Об утверждении региональной программы "Развитие материально-технической базы детских поликлиник и детских поликлинических отделений медицинских организаций Кемеровской области"
Номер опубликования: 4200201912230003
Дата опубликования:
23.12.2019
