Официальное опубликование правовых актов
ОФИЦИАЛЬНОЕ ОПУБЛИКОВАНИЕ
Закон Кемеровской области от 01.10.2019 № 95-ОЗ
"О внесении изменений в Закон Кемеровской области "Об областном бюджете на 2019 год и на плановый период 2020 и 2021 годов"
Номер опубликования: 4200201910040002
Дата опубликования: 04.10.2019
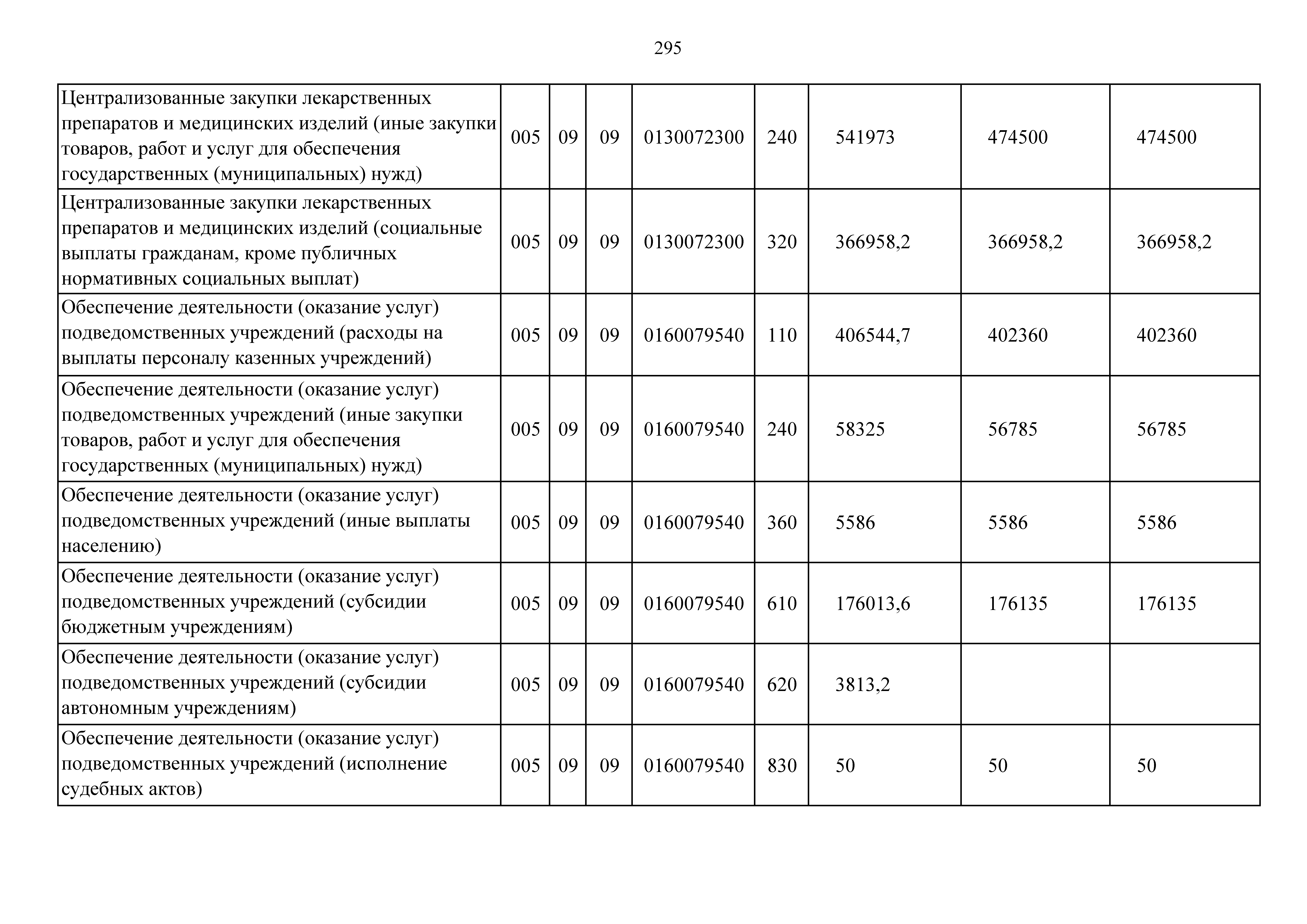
Страница №295 из 640: