Официальное опубликование правовых актов
ОФИЦИАЛЬНОЕ ОПУБЛИКОВАНИЕ
Закон Кемеровской области от 23.08.2019 № 93-ОЗ
"О внесении изменений в приложения 2 и 3 к Закону Кемеровской области "О статусе и границах муниципальных образований" в части уточнения картографического и дополнения координатного описаний местоположения границы Гурьевского муниципального района и границ городских и сельских поселений, расположенных на его территории"
Номер опубликования: 4200201908300013
Дата опубликования: 30.08.2019
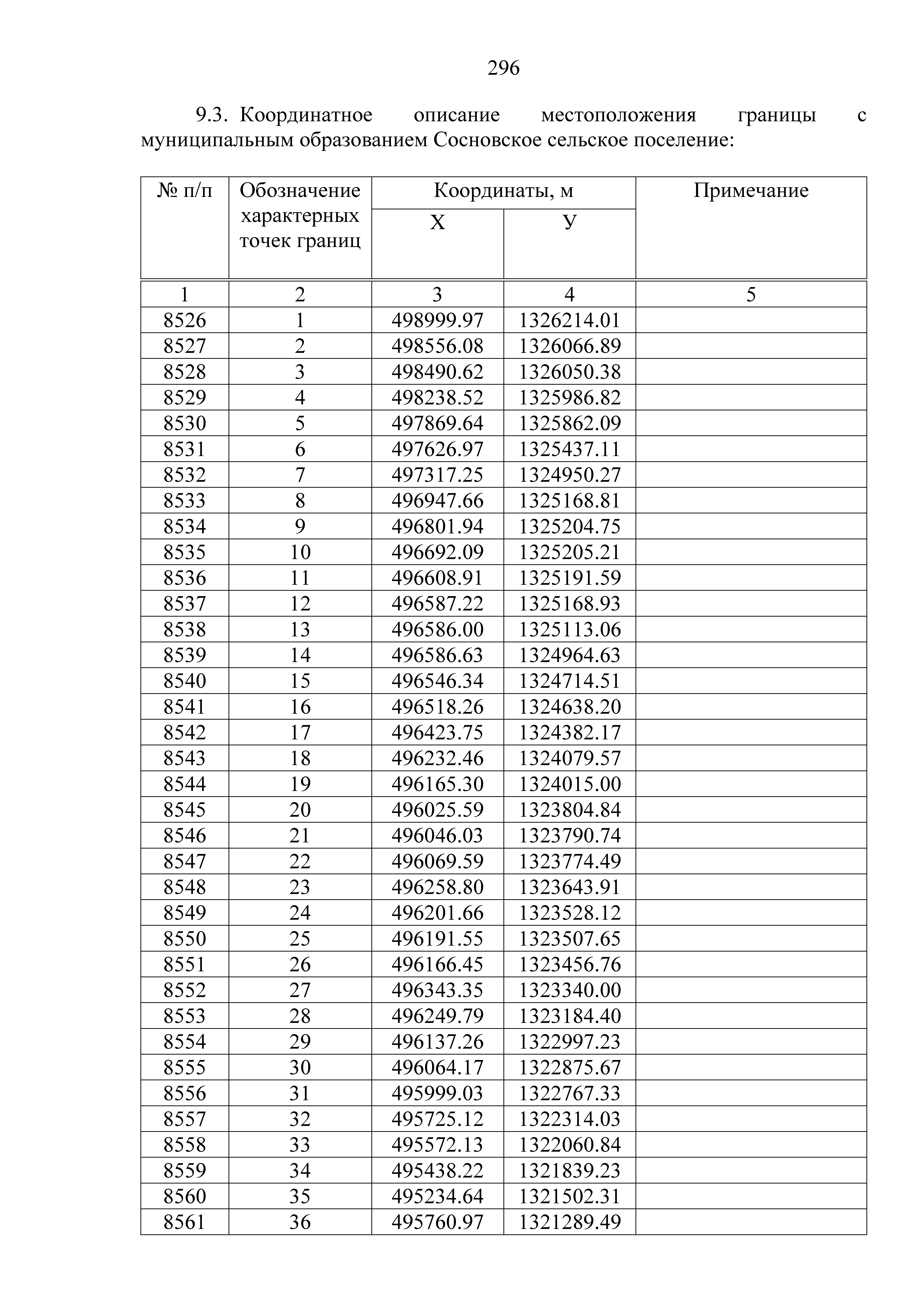
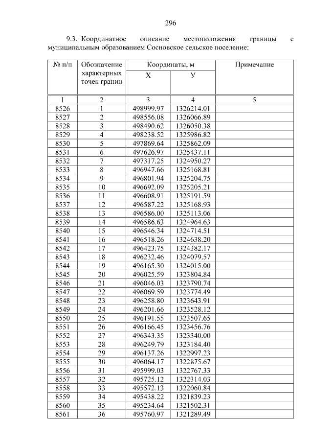
Страница №296 из 309: