Закон Кемеровской области от 23.08.2019 № 89-ОЗ
"О внесении изменений в приложение 1 к Закону Кемеровской области "О статусе и границах муниципальных образований" в части уточнения картографического и дополнения координатного описаний местоположения границы Тайгинского городского округа"
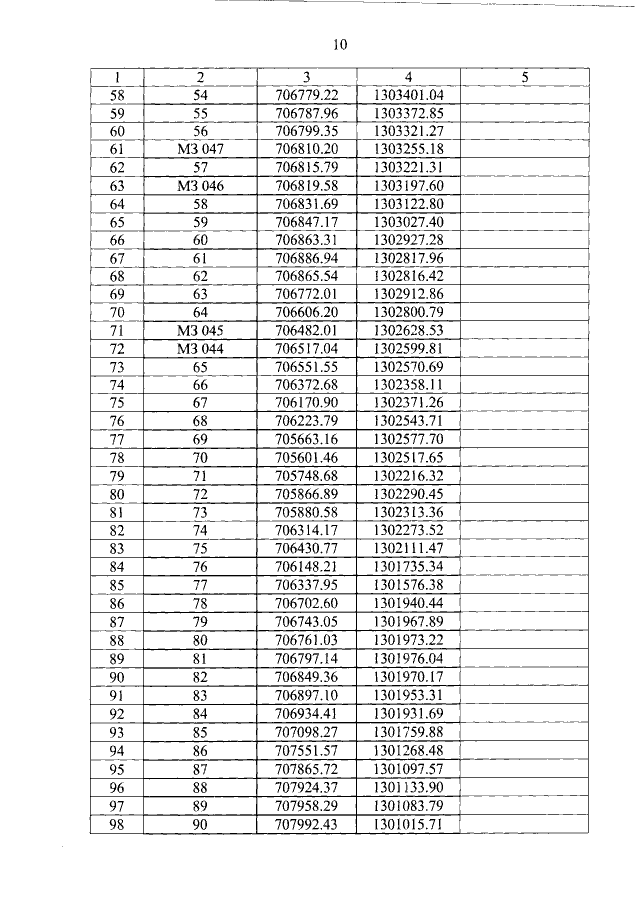
"О внесении изменений в приложение 1 к Закону Кемеровской области "О статусе и границах муниципальных образований" в части уточнения картографического и дополнения координатного описаний местоположения границы Тайгинского городского округа"
Номер опубликования: 4200201908300009
Дата опубликования:
30.08.2019
