Официальное опубликование правовых актов
ОФИЦИАЛЬНОЕ ОПУБЛИКОВАНИЕ
Закон Кемеровской области от 23.08.2019 № 91-ОЗ
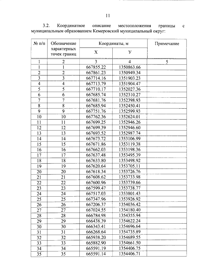
"О внесении изменений в приложение 1 к Закону Кемеровской области "О статусе и границах муниципальных образований" в части уточнения картографического и дополнения координатного описаний местоположения границы Березовского городского округа"
Номер опубликования: 4200201908300003
Дата опубликования: 30.08.2019
Страница №11 из 52:
Увеличить