Официальное опубликование правовых актов
ОФИЦИАЛЬНОЕ ОПУБЛИКОВАНИЕ
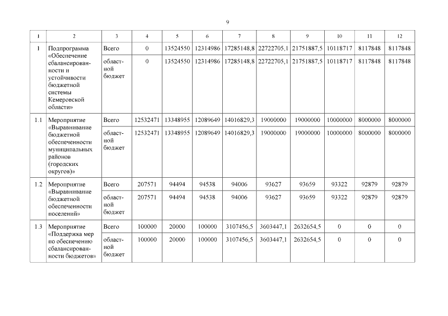
Постановление Правительства Кемеровской области - Кузбасса от 08.08.2019 № 472
"О внесении изменений в постановление Коллегии Администрации Кемеровской области от 08.10.2013 № 421 "Об утверждении государственной программы Кемеровской области "Управление государственными финансами Кузбасса" на 2014 - 2021 годы"
Номер опубликования: 4200201908130001
Дата опубликования: 13.08.2019
Страница №9 из 24:
Увеличить