Официальное опубликование правовых актов
ОФИЦИАЛЬНОЕ ОПУБЛИКОВАНИЕ
Закон Кемеровской области от 08.07.2019 № 43-ОЗ
"О внесении изменений в приложения 2 и 3 к Закону Кемеровской области "О статусе и границах муниципальных образований" в части уточнения картографического и дополнения координатного описаний местоположения границы Тяжинского муниципального района и границ городских и сельских поселений, расположенных на его территории"
Номер опубликования: 4200201907120011
Дата опубликования: 12.07.2019
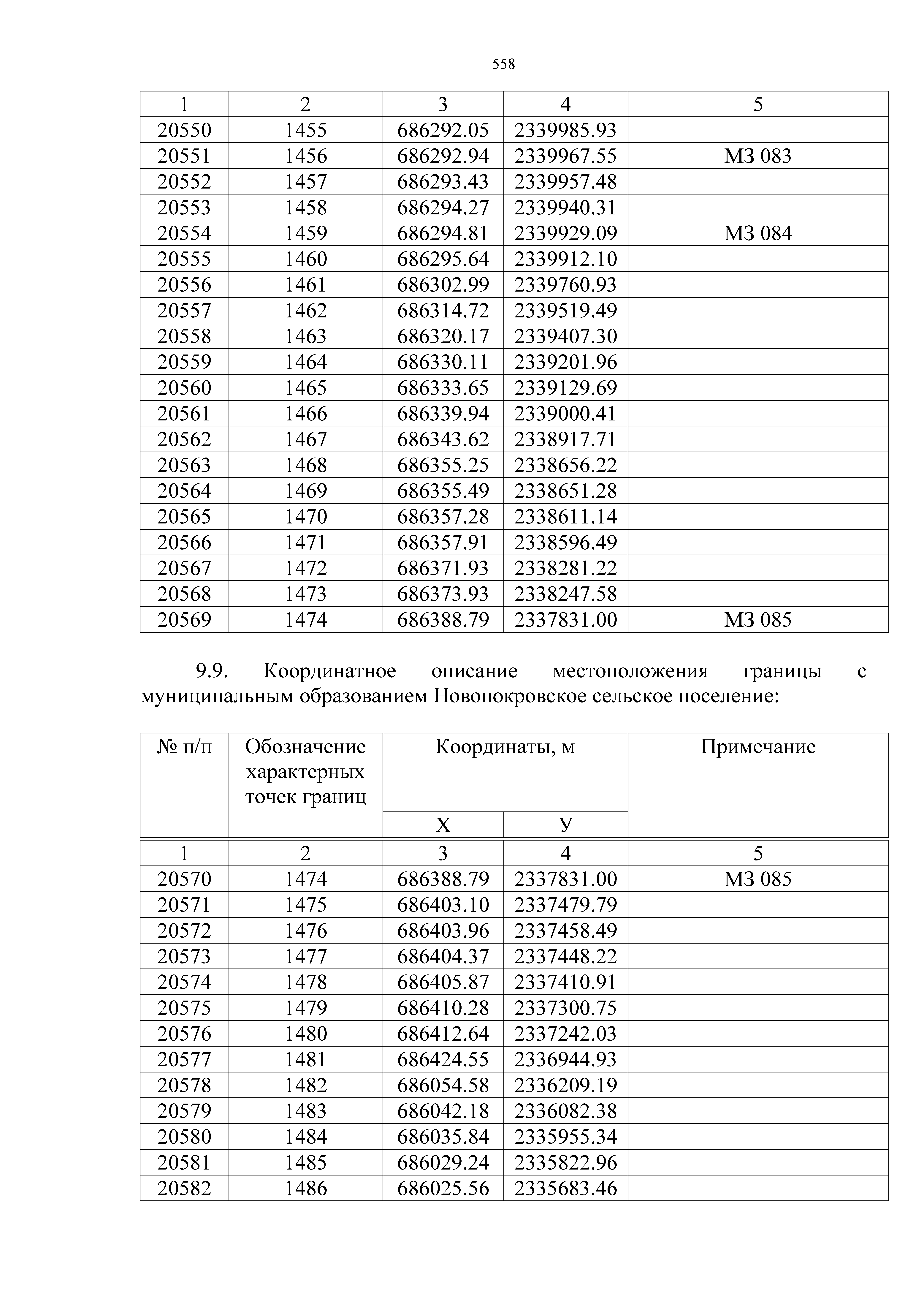
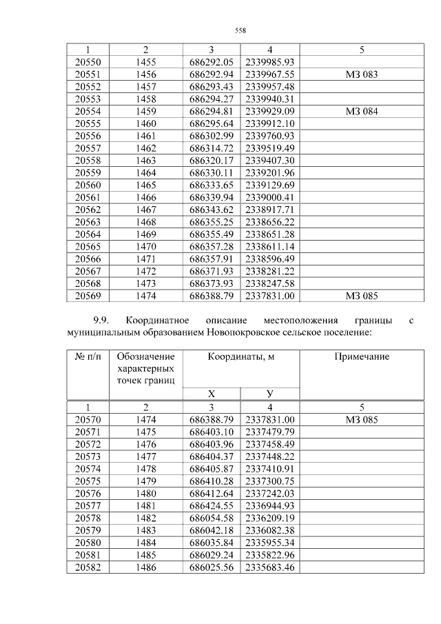
Страница №558 из 633: