Официальное опубликование правовых актов
ОФИЦИАЛЬНОЕ ОПУБЛИКОВАНИЕ
Закон Кемеровской области от 26.06.2019 № 41-ОЗ
"О внесении изменений в Закон Кемеровской области "Об областном бюджете на 2019 год и на плановый период 2020 и 2021 годов"
Номер опубликования: 4200201907040001
Дата опубликования: 04.07.2019
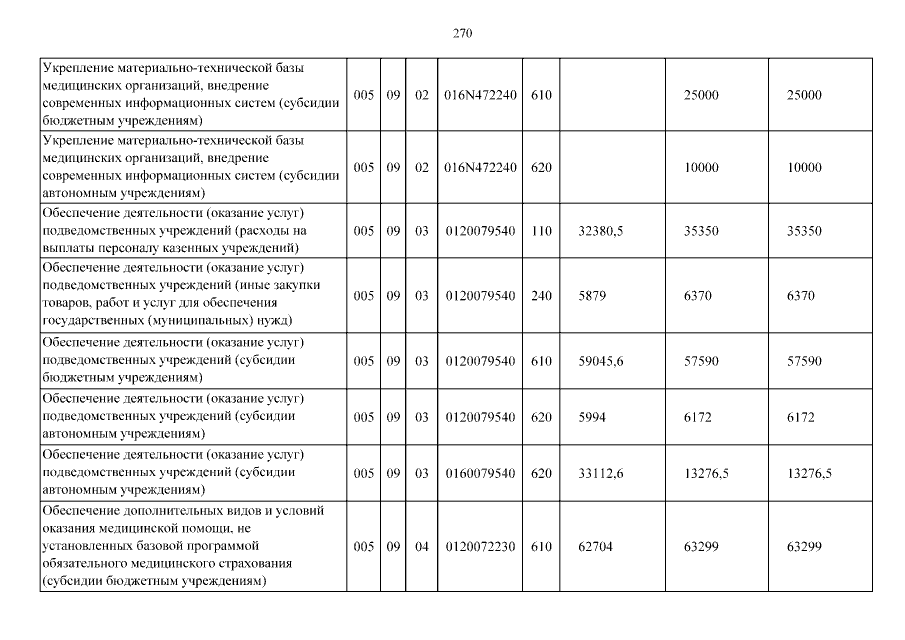
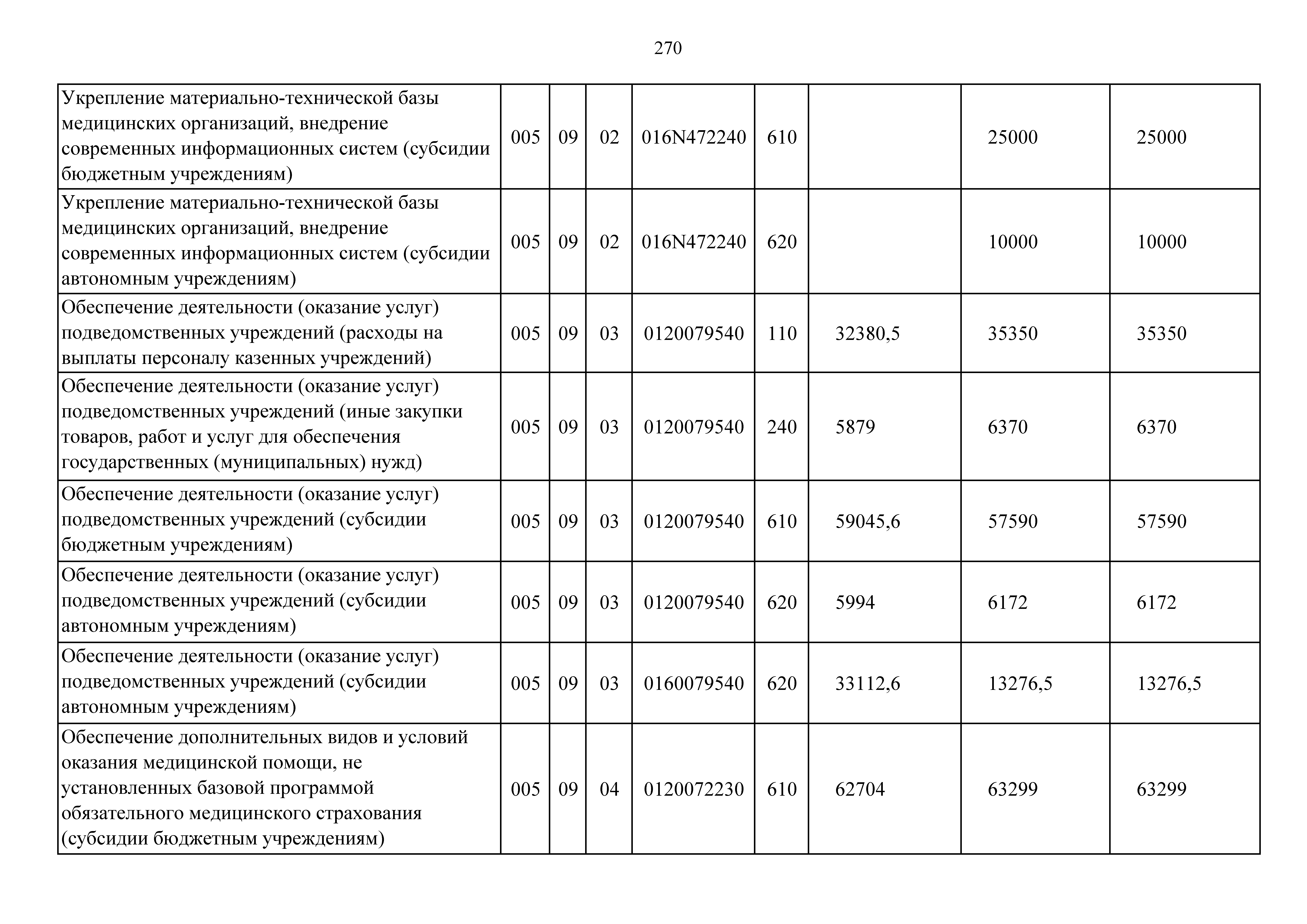
Страница №270 из 598: