Официальное опубликование правовых актов
ОФИЦИАЛЬНОЕ ОПУБЛИКОВАНИЕ
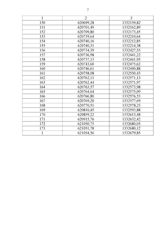
Постановление Коллегии Администрации Кемеровской области от 05.04.2019 № 220
"Об утверждении границ охранной зоны существующей газораспределительной сети "Газопровод к отопительной котельной № 56, расположенной по адресу: г. Кемерово, п. Пионер, ул. Пригородная, 23" и наложении ограничений (обременений) на входящие в нее земельные участки"
Номер опубликования: 4200201904100003
Дата опубликования: 10.04.2019
Страница №7 из 7:
Увеличить