Официальное опубликование правовых актов
ОФИЦИАЛЬНОЕ ОПУБЛИКОВАНИЕ
Постановление Коллегии Администрации Кемеровской области от 29.03.2019 № 199
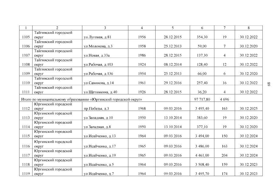
"Об утверждении региональной адресной программы "Переселение граждан из многоквартирных домов, признанных до 01.01.2017 в установленном порядке аварийными и подлежащими сносу или реконструкции" на 2019 - 2025 годы"
Номер опубликования: 4200201904030011
Дата опубликования: 03.04.2019
Страница №89 из 132:
Увеличить