Официальное опубликование правовых актов
ОФИЦИАЛЬНОЕ ОПУБЛИКОВАНИЕ
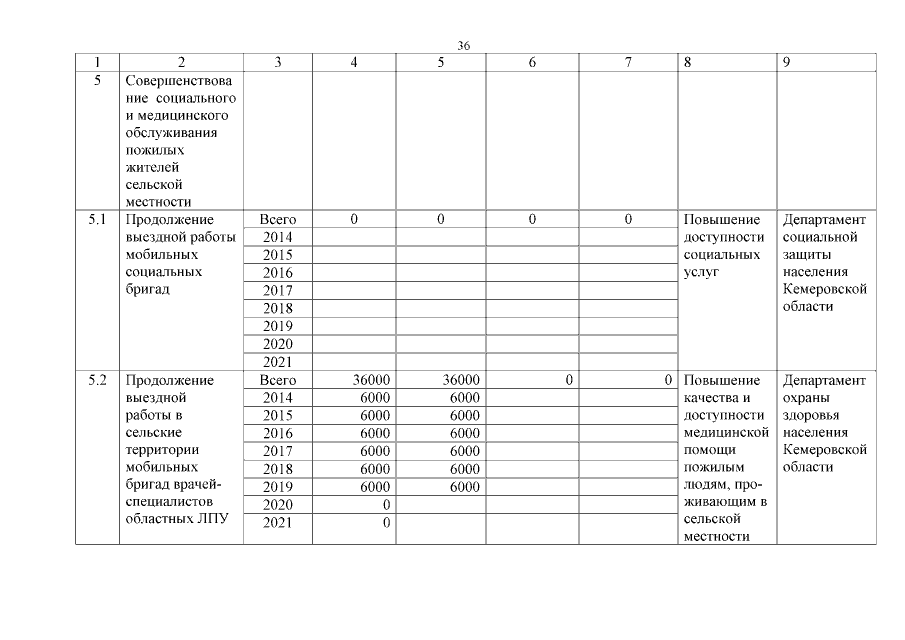
Постановление Коллегии Администрации Кемеровской области от 18.01.2019 № 17
"О внесении изменений в постановление Коллегии Администрации Кемеровской области от 26.12.2013 № 602 "Об утверждении комплексной региональной социальной программы "Повышение качества жизни пожилых людей в Кемеровской области" на 2014-2019 годы"
Номер опубликования: 4200201901230006
Дата опубликования: 23.01.2019
Страница №36 из 69:
Увеличить