Официальное опубликование правовых актов
ОФИЦИАЛЬНОЕ ОПУБЛИКОВАНИЕ
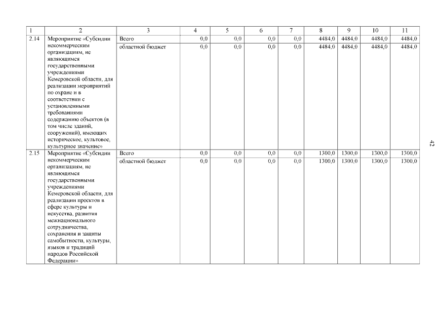
Постановление Коллегии Администрации Кемеровской области от 27.12.2018 № 632
"О внесении изменений в постановление Коллегии Администрации Кемеровской области от 25.10.2013 № 462 "Об утверждении государственной программы Кемеровской области "Культура Кузбасса" на 2014-2021 годы"
Номер опубликования: 4200201812280011
Дата опубликования: 28.12.2018
Страница №42 из 72:
Увеличить