Постановление Коллегии Администрации Кемеровской области от 20.11.2018 № 494
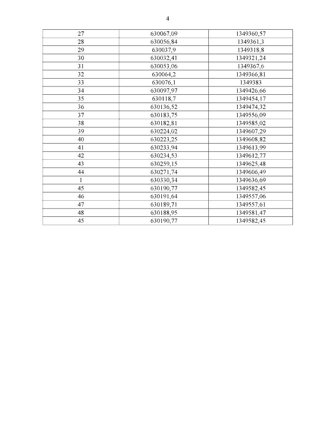
"Об утверждении границ охранной зоны существующей газораспределительной сети "Газораспределительные сети города-спутника Лесная Поляна г. Кемерово Кемеровской области (4 очередь) местоположение объекта: Кемеровская область, г. Кемерово, жилой район Лесная Поляна, юго-западнее ул. Парковая" и наложении ограничений (обременений) на входящие в нее земельные участки"
"Об утверждении границ охранной зоны существующей газораспределительной сети "Газораспределительные сети города-спутника Лесная Поляна г. Кемерово Кемеровской области (4 очередь) местоположение объекта: Кемеровская область, г. Кемерово, жилой район Лесная Поляна, юго-западнее ул. Парковая" и наложении ограничений (обременений) на входящие в нее земельные участки"
Номер опубликования: 4200201811230007
Дата опубликования:
23.11.2018
