Постановление Коллегии Администрации Кемеровской области от 16.11.2018 № 487
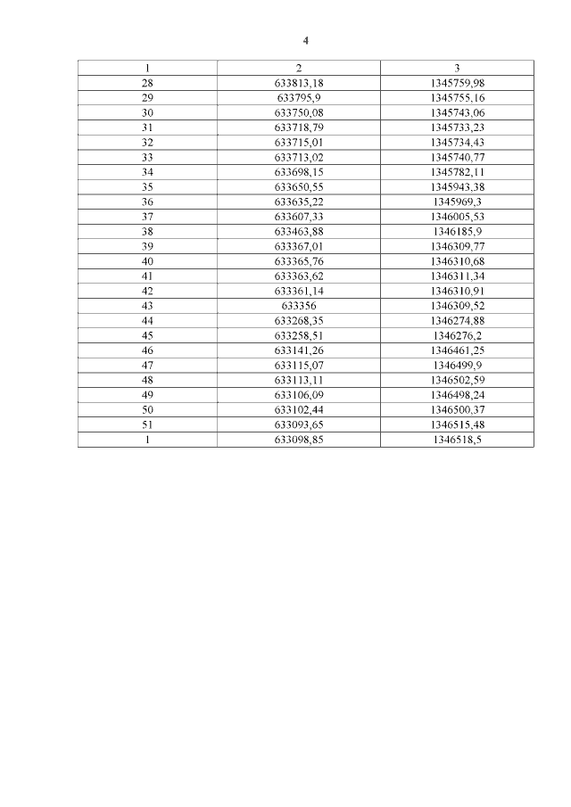
"Об утверждении границ охранной зоны существующей газораспределительной сети "Сооружение трубопроводного транспорта местонахождение объекта: Кемеровская область, город Кемерово, Рудничный район севернее 50 м инженерно-транспортного коридора проспекта В.В. Михайлова" и наложении ограничений (обременений) на входящие в нее земельные участки"
"Об утверждении границ охранной зоны существующей газораспределительной сети "Сооружение трубопроводного транспорта местонахождение объекта: Кемеровская область, город Кемерово, Рудничный район севернее 50 м инженерно-транспортного коридора проспекта В.В. Михайлова" и наложении ограничений (обременений) на входящие в нее земельные участки"
Номер опубликования: 4200201811200003
Дата опубликования:
20.11.2018
