Официальное опубликование правовых актов
ОФИЦИАЛЬНОЕ ОПУБЛИКОВАНИЕ
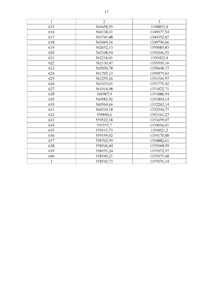
Постановление Коллегии Администрации Кемеровской области от 05.10.2018 № 417
"Об утверждении границ охранной зоны существующей газораспределительной сети "Производственно-технологический комплекс - магистральный газопровод "Новосибирск-Кузбасс" и наложении ограничений (обременений) на входящие в нее земельные участки"
Номер опубликования: 4200201810100001
Дата опубликования: 10.10.2018
Страница №17 из 17:
Увеличить