Официальное опубликование правовых актов
ОФИЦИАЛЬНОЕ ОПУБЛИКОВАНИЕ
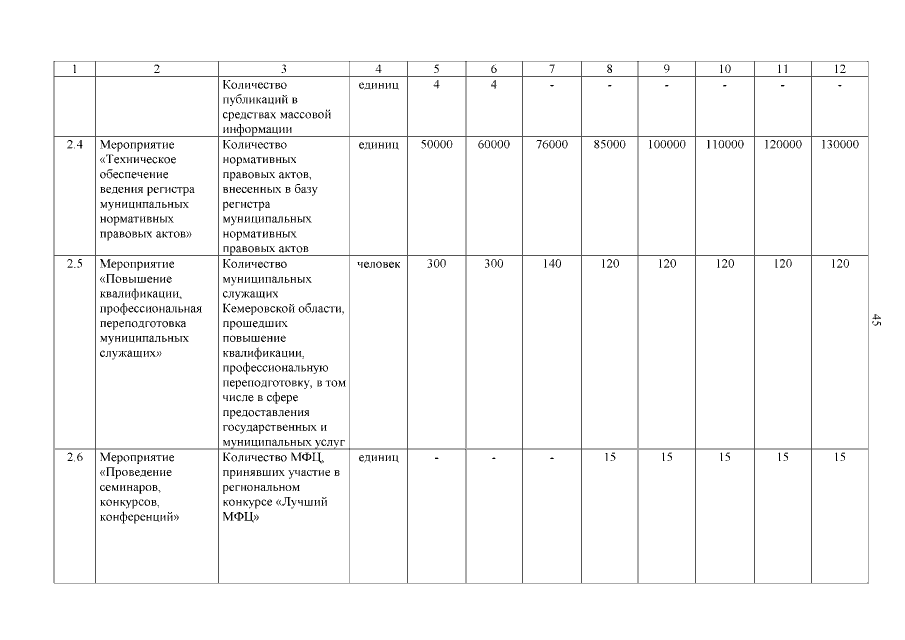
Постановление Коллегии Администрации Кемеровской области от 18.09.2018 № 375
"О внесении изменений в постановление Коллегии Администрации Кемеровской области от 20.09.2013 №400 "Об утверждении государственной программы Кемеровской области "Информационное общество Кузбасса" на 2014 – 2020 годы"
Номер опубликования: 4200201809240011
Дата опубликования: 24.09.2018
Страница №45 из 52:
Увеличить