Официальное опубликование правовых актов
ОФИЦИАЛЬНОЕ ОПУБЛИКОВАНИЕ
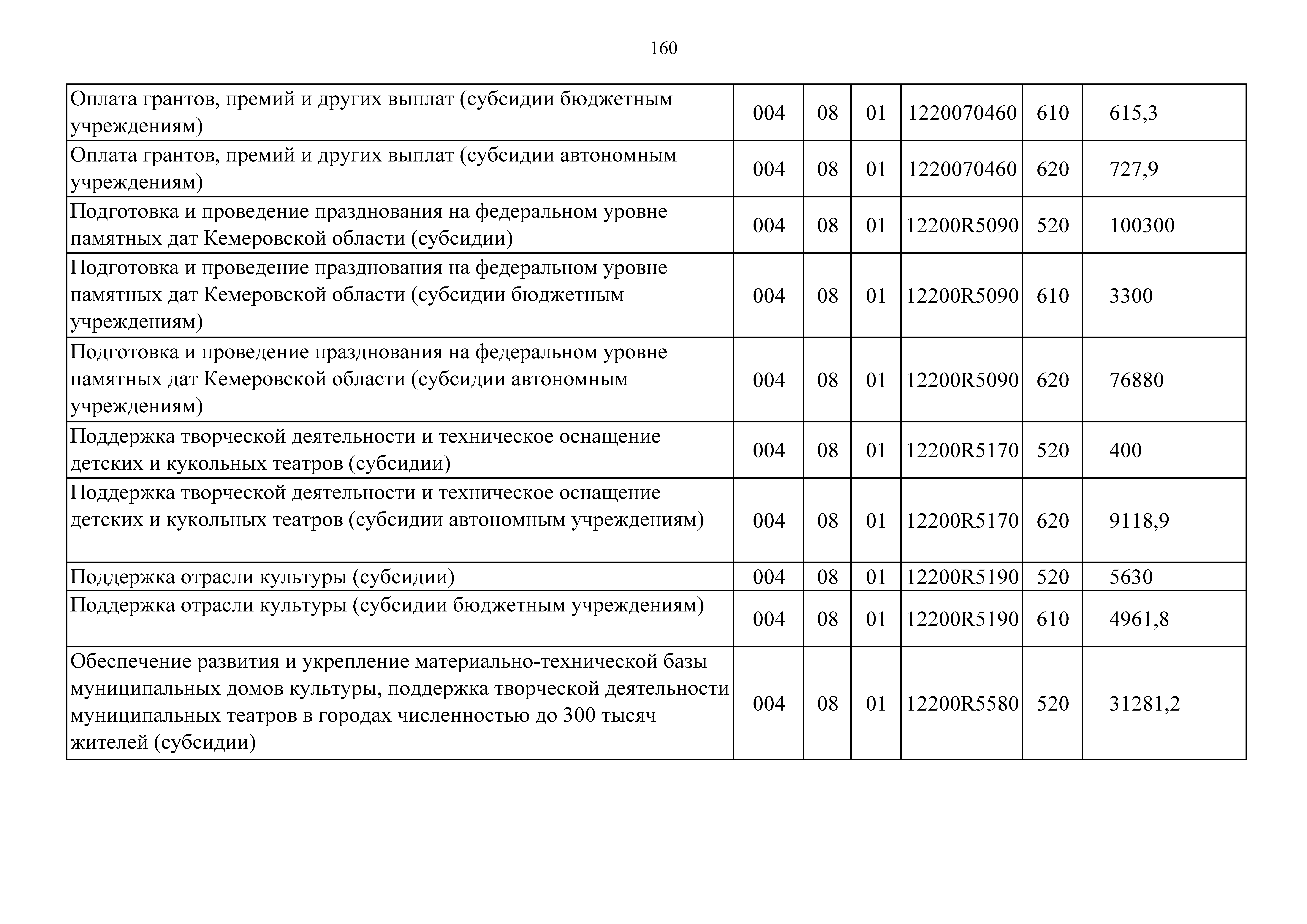
Закон Кемеровской области от 14.06.2018 № 42-ОЗ "Об исполнении областного бюджета за 2017 год"
Номер опубликования: 4200201806180001
Дата опубликования: 18.06.2018
Страница №160 из 293: