Официальное опубликование правовых актов
ОФИЦИАЛЬНОЕ ОПУБЛИКОВАНИЕ
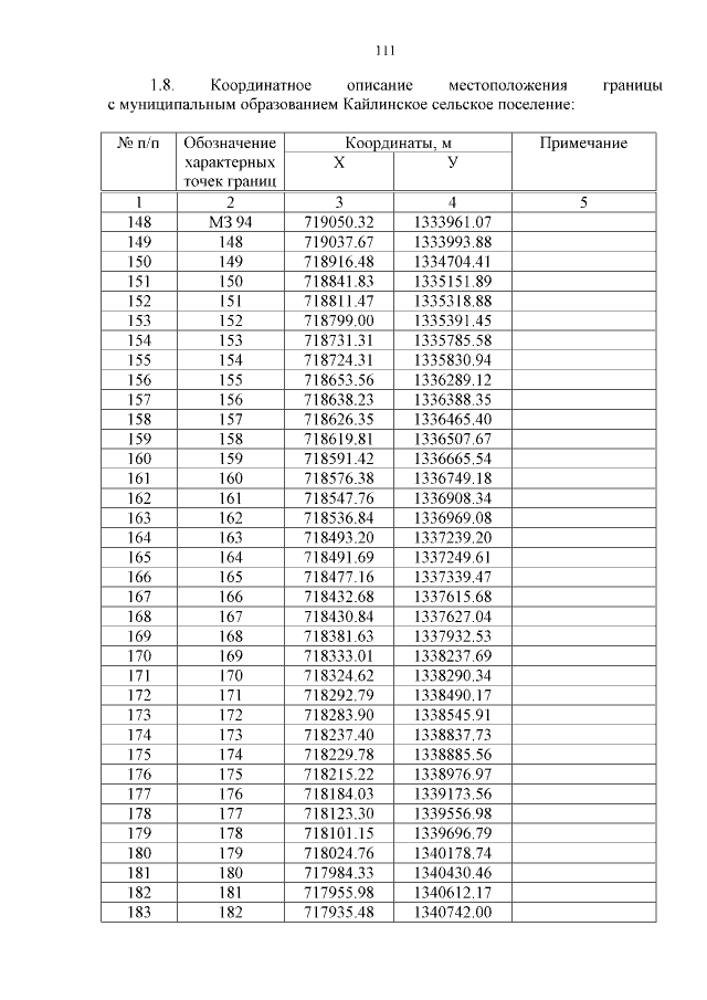
Закон Кемеровской области от 15.05.2018 № 30-ОЗ
"О внесении изменений в Закон Кемеровской области"О статусе и границах муниципальных образований"
Номер опубликования: 4200201805180002
Дата опубликования: 18.05.2018
Страница №111 из 334:
Увеличить