Официальное опубликование правовых актов
ОФИЦИАЛЬНОЕ ОПУБЛИКОВАНИЕ
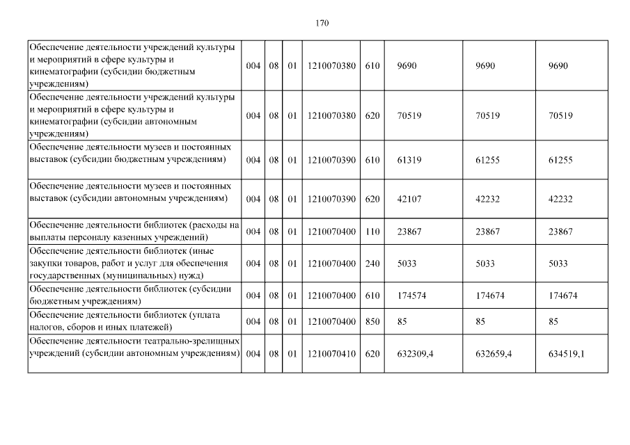
Закон Кемеровской области от 04.05.2018 № 23-ОЗ
"О внесении изменений в Закон Кемеровской области "Об областном бюджете на 2018 год и на плановый период 2019 и 2020 годов"
Номер опубликования: 4200201805080002
Дата опубликования: 08.05.2018
Страница №170 из 389: