Официальное опубликование правовых актов
ОФИЦИАЛЬНОЕ ОПУБЛИКОВАНИЕ
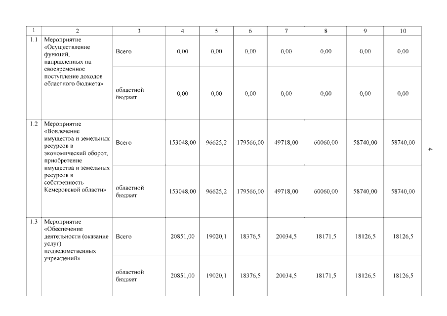
Постановление Коллегии Администрации Кемеровской области от 13.11.2017 № 592
"О внесении изменений в постановление Коллегии Администрации Кемеровской области от 24.10.2013 №454 "Об утверждении государственной программы Кемеровской области "Имущественный комплекс Кузбасса" на 2014 - 2020 годы"
Номер опубликования: 4200201711170003
Дата опубликования: 17.11.2017
Страница №4 из 7:
Увеличить