Официальное опубликование правовых актов
ОФИЦИАЛЬНОЕ ОПУБЛИКОВАНИЕ
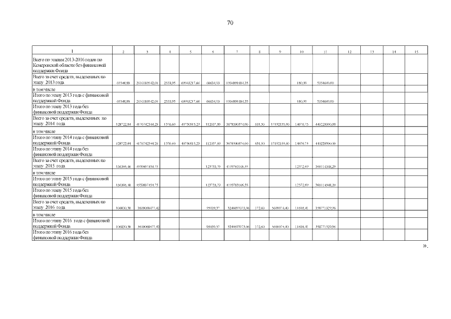
Постановление Коллегии Администрации Кемеровской области от 13.10.2017 № 538
"О внесении изменений в постановление Коллегии Администрации Кемеровской области от 12.04.2013 №160 "Об утверждении региональной адресной программы "Переселение граждан из многоквартирных домов, признанных до 1 января 2012 г. в установленном порядке аварийными и подлежащими сносу" на 2013 - 2017 годы"
Номер опубликования: 4200201710180004
Дата опубликования: 18.10.2017
Страница №70 из 129:
Увеличить