Официальное опубликование правовых актов
ОФИЦИАЛЬНОЕ ОПУБЛИКОВАНИЕ
Постановление Коллегии Администрации Кемеровской области от 25.09.2017 № 501
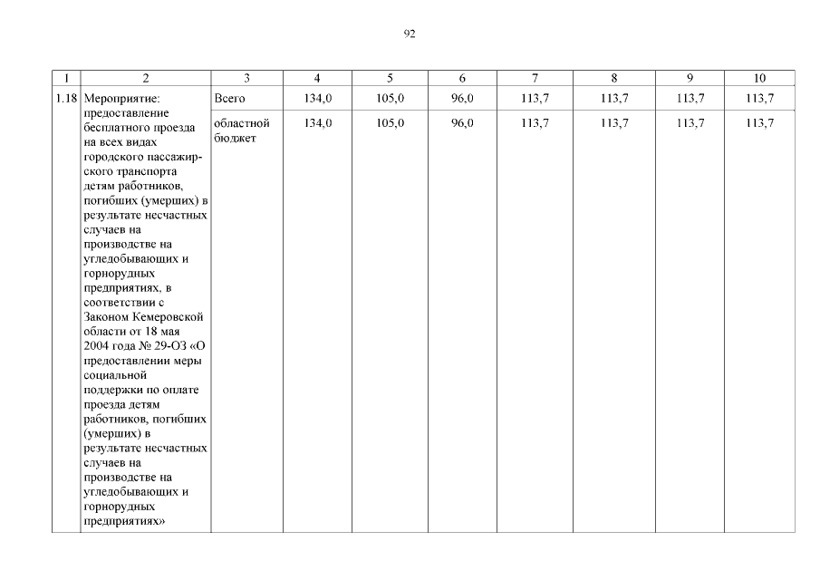
"О внесении изменений в постановление Коллегии Администрации Кемеровской области от 25.10.2013 № 468 "Об утверждении государственной программы Кемеровской области "Социальная поддержка населения Кузбасса" на 2014 - 2019 годы"
Номер опубликования: 4200201709290001
Дата опубликования: 29.09.2017
Страница №92 из 153:
Увеличить