Официальное опубликование правовых актов
ОФИЦИАЛЬНОЕ ОПУБЛИКОВАНИЕ
Постановление Коллегии Администрации Кемеровской области от 17.04.2017 № 161
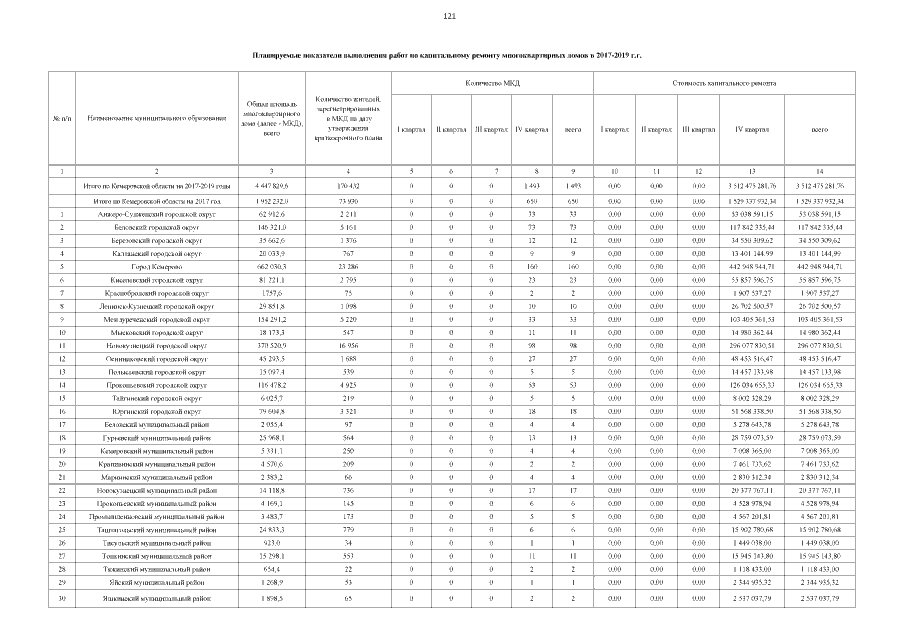
"О внесении изменения в постановление Коллегии Администрации Кемеровской области от 01.12.2016 № 482 "Об утверждении краткосрочного плана реализации региональной программы капитального ремонта общего имущества в многоквартирных домах Кемеровской области на 2014 - 2043 годы на 2017- 2019 годы"
Номер опубликования: 4200201704210002
Дата опубликования: 21.04.2017
Страница №121 из 123:
Увеличить