Официальное опубликование правовых актов
ОФИЦИАЛЬНОЕ ОПУБЛИКОВАНИЕ
Постановление Губернатора Кемеровской области от 20.03.2017 № 21-пг
"О внесении изменений в постановление Губернатора Кемеровской области от 28.01.2009 № 6-пг "Об утверждении Лесного плана Кемеровской области"
Номер опубликования: 4200201703240006
Дата опубликования: 24.03.2017
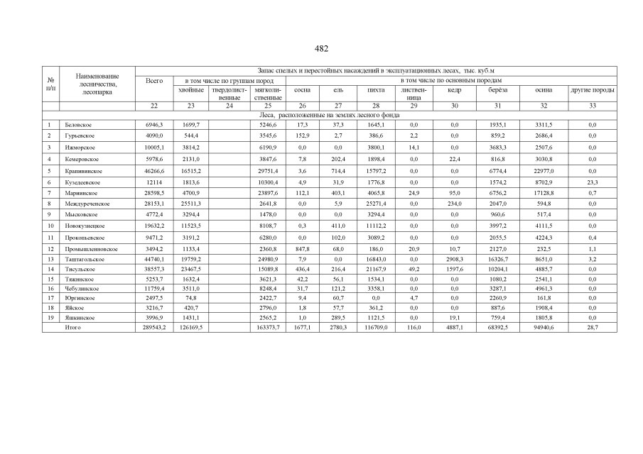
Страница №482 из 850:
Увеличить