Официальное опубликование правовых актов
ОФИЦИАЛЬНОЕ ОПУБЛИКОВАНИЕ
Постановление Коллегии Администрации Кемеровской области от 07.02.2017 № 47
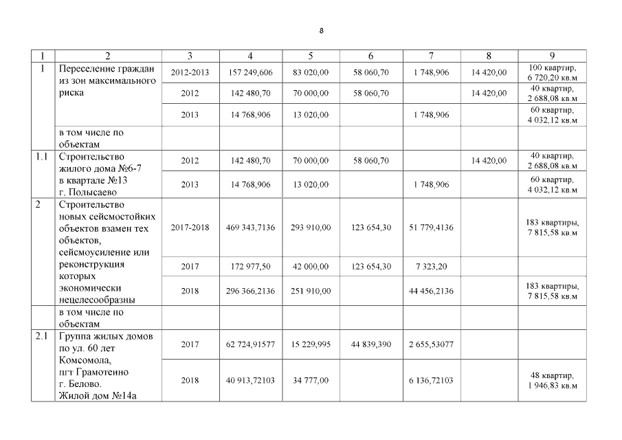
"О внесении изменений в постановление Коллегии Администрации Кемеровской области от 16.02.2012 №32 "Об утверждении комплексной программы "Повышение устойчивости жилых домов, основных объектов и систем жизнеобеспечения в сейсмических районах Кемеровской области" на 2012 – 2018 годы"
Номер опубликования: 4200201702100012
Дата опубликования: 10.02.2017
Страница №8 из 13:
Увеличить